Question: ACCT 1105 Serial Problem #2 Selected transactions completed by Sunset Products, inc. during the fiscal year ended December 31, 2016, were Issued 15,000 shares of


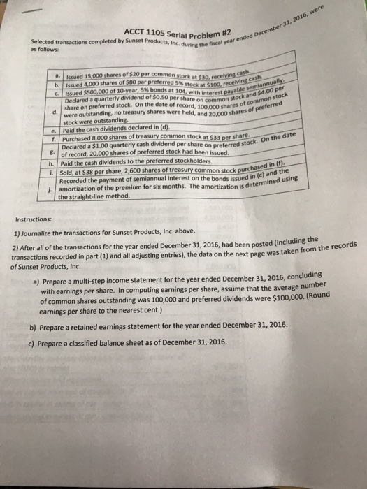
ACCT 1105 Serial Problem #2 Selected transactions completed by Sunset Products, inc. during the fiscal year ended December 31, 2016, were Issued 15,000 shares of $20 par common stock at $30, receiving cash. Issued $500,000 of 10 year 5% bonds at 104, with interest payable semiannually. Issued 4,000 shares of $80 par preferred 5 stock at $100, receiving cash. Declared a quarterly dividend of $0.50 per Share on common stock and $4.00 per were outstanding no treasury shares were held, and 20,000 shares of preferred share on preferred stock. On the date of record, 100.000 shares of common stock Declared a $1.00 quarterly cash dividend per share on preferred stock. On the date Sold, at $38 per share, 2,600 shares of treasury common stock purchased in (n. amortization of the premium for six months. The amortization is determined using as follows: a. b c. d. stock were outstanding e. Paid the cash dividends declared in (d). f. Purchased 8,000 shares of treasury common stock at $33 per share. 8 of record, 20,000 shares of preferred stock had been issued. h. Paid the cash dividends the preferred stockholders. the straight-line method. Instructions: 1) Journalize the transactions for Sunset Products, Inc. above. 2) After all of the transactions for the year ended December 31, 2016, had been posted (including the transactions recorded in part (1) and all adjusting entries), the data on the next page was taken from the records of Sunset Products, Inc a) Prepare a multi-step income statement for the year ended December 31, 2016, concluding with earnings per share. In computing earnings per share, assume that the average number of common shares outstanding was 100,000 and preferred dividends were $100,000. (Round earnings per share to the nearest cent.) b) Prepare a retained earnings statement for the year ended December 31, 2016. c) Prepare a classified balance sheet as of December 31, 2016. 21.00 2.720 7.900 14.000 50,000 170.000 10.000 5.254.000 185.000 385.000 21.000 Income Statement Data Advertising expense Cost of goods sold Delivery expense Depreciation expense ofrece buildings and equipman Depreciation expense store buildings and equipment Income tax expense interest expense Interest revenue Miscellaneous administrative expense Miscellaneous selling expense Oficerent expense Office salaries expense Office supplies expense Sales Sales returns and allowances Sales salaries expense Store supplies expense Retained Earnings and Balance Sheet data: Accounts Payable Accounts Receivable Accumulated depreciation office buildings and equipment Accumulated depreciation - store buildings and equipment Allowance for doubtful accounts Bonds payable, 5%, due 2022 Cash Common stock, $20 par (400,000 shares authorized; 100,000 shares issued, 94,600 outstanding) Dividends: Cash dividends for common stock Cash dividends for preferred stock Stock dividends for common stock Goodwill Income tax payable Interest receivable Merchandise inventory (December 31, 2016), at lower of cost (FIFO) or market Office buildings and equipment Paid-in capital from sale of treasury stock Paid-in capital in excess of par - common stock Paid-in capital in excess of par - preferred stock $150.800 545,000 1,580,000 4,126,000 8,450 500,000 746,000 2,000,000 155,120 100,000 66,240 500,000 44,000 1,125 978,000 4,626,910 13,000 886,800 150,000 Preferred 5% stock, $80 par (30,000 shares authorized; 20,000 shares issued) Premium on bonds payable Prepaid expenses Retained earnings, January 1, 2016 Store buildings and equipment Treasury stock (5,400 shares of common stock at cost of $33 per share) 1,600,000 19,000 127,400 9,219,725 12,560,000 178,200 ACCT 1105 Serial Problem #2 Selected transactions completed by Sunset Products, inc. during the fiscal year ended December 31, 2016, were Issued 15,000 shares of $20 par common stock at $30, receiving cash. Issued $500,000 of 10 year 5% bonds at 104, with interest payable semiannually. Issued 4,000 shares of $80 par preferred 5 stock at $100, receiving cash. Declared a quarterly dividend of $0.50 per Share on common stock and $4.00 per were outstanding no treasury shares were held, and 20,000 shares of preferred share on preferred stock. On the date of record, 100.000 shares of common stock Declared a $1.00 quarterly cash dividend per share on preferred stock. On the date Sold, at $38 per share, 2,600 shares of treasury common stock purchased in (n. amortization of the premium for six months. The amortization is determined using as follows: a. b c. d. stock were outstanding e. Paid the cash dividends declared in (d). f. Purchased 8,000 shares of treasury common stock at $33 per share. 8 of record, 20,000 shares of preferred stock had been issued. h. Paid the cash dividends the preferred stockholders. the straight-line method. Instructions: 1) Journalize the transactions for Sunset Products, Inc. above. 2) After all of the transactions for the year ended December 31, 2016, had been posted (including the transactions recorded in part (1) and all adjusting entries), the data on the next page was taken from the records of Sunset Products, Inc a) Prepare a multi-step income statement for the year ended December 31, 2016, concluding with earnings per share. In computing earnings per share, assume that the average number of common shares outstanding was 100,000 and preferred dividends were $100,000. (Round earnings per share to the nearest cent.) b) Prepare a retained earnings statement for the year ended December 31, 2016. c) Prepare a classified balance sheet as of December 31, 2016. 21.00 2.720 7.900 14.000 50,000 170.000 10.000 5.254.000 185.000 385.000 21.000 Income Statement Data Advertising expense Cost of goods sold Delivery expense Depreciation expense ofrece buildings and equipman Depreciation expense store buildings and equipment Income tax expense interest expense Interest revenue Miscellaneous administrative expense Miscellaneous selling expense Oficerent expense Office salaries expense Office supplies expense Sales Sales returns and allowances Sales salaries expense Store supplies expense Retained Earnings and Balance Sheet data: Accounts Payable Accounts Receivable Accumulated depreciation office buildings and equipment Accumulated depreciation - store buildings and equipment Allowance for doubtful accounts Bonds payable, 5%, due 2022 Cash Common stock, $20 par (400,000 shares authorized; 100,000 shares issued, 94,600 outstanding) Dividends: Cash dividends for common stock Cash dividends for preferred stock Stock dividends for common stock Goodwill Income tax payable Interest receivable Merchandise inventory (December 31, 2016), at lower of cost (FIFO) or market Office buildings and equipment Paid-in capital from sale of treasury stock Paid-in capital in excess of par - common stock Paid-in capital in excess of par - preferred stock $150.800 545,000 1,580,000 4,126,000 8,450 500,000 746,000 2,000,000 155,120 100,000 66,240 500,000 44,000 1,125 978,000 4,626,910 13,000 886,800 150,000 Preferred 5% stock, $80 par (30,000 shares authorized; 20,000 shares issued) Premium on bonds payable Prepaid expenses Retained earnings, January 1, 2016 Store buildings and equipment Treasury stock (5,400 shares of common stock at cost of $33 per share) 1,600,000 19,000 127,400 9,219,725 12,560,000 178,200
Step by Step Solution
There are 3 Steps involved in it
Get step-by-step solutions from verified subject matter experts
