Question: ACP Project Solid Footing 14e Accounting Cycle Project Solid Footing 14e To activate your project, enter your: Software ID Code, First Name, and Last Name
ACP Project Solid Footing 14e




















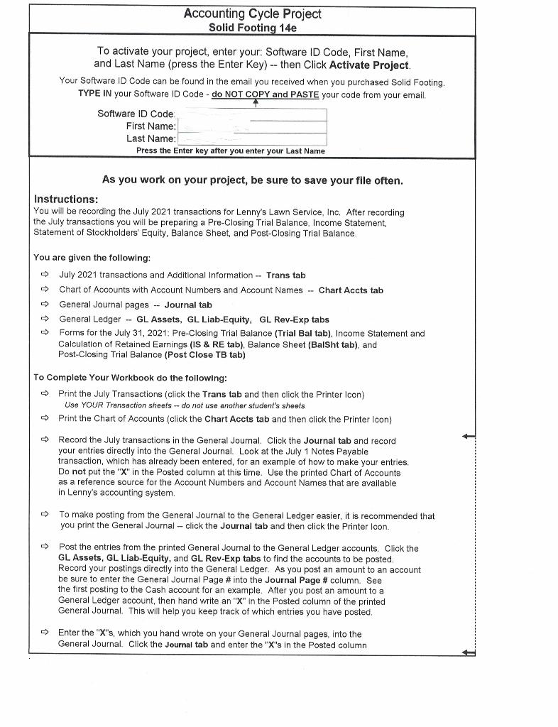
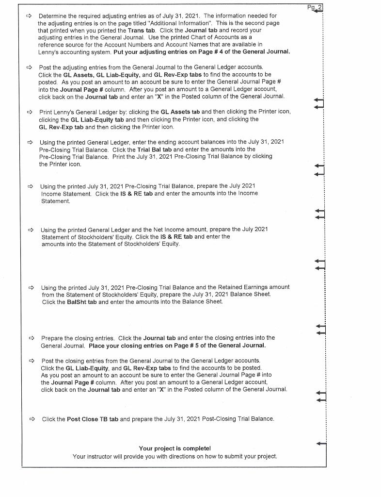
Accounting Cycle Project Solid Footing 14e To activate your project, enter your: Software ID Code, First Name, and Last Name (press the Enter Key) -- then click Activate Project Your Software ID Code can be found in the email you received when you purchased Solid Footing. TYPE IN your Software ID Code - do NOT COPY and PASTE your code from your email. Software ID Code First Name: Last Name: Press the Enter key after you enter your Last Name As you work on your project, be sure to save your file often. Instructions: You will be recording the July 2021 transactions for Lenny's Lawn Service, Inc. After recording the July transactions you will be preparing a Pre-Closing Trial Balance, Income Statement, Statement of Stockholders' Equity, Balance Sheet, and Post-Closing Trial Balance -> > You are given the following: July 2021 transactions and Additional Information - Trans tab Chart of Accounts with Account Numbers and Account Names -- Chart Accts tab General Journal pages -- Journal tab General Ledger - GL Assets, GL Liab-Equity, GL Rev-Exp tabs Forms for the July 31, 2021: Pre-Closing Trial Balance (Trial Bal tab). Income Statement and Calculation of Retained Earnings (IS & RE tab). Balance Sheet (BalSht tab), and Post-Closing Trial Balance (Post Close TB tab) > To Complete Your Workbook do the following: > Print the July Transactions (click the Trans tab and then click the Printer Icon) Use YOUR Transaction sheets - do not use another student's sheets Print the Chart of Accounts (click the Chart Accts tab and then click the Printer Icon) Record the July transactions in the General Journal. Click the Journal tab and record your entries directly into the General Journal. Look at the July 1 Notes Payable transaction, which has already been entered, for an example of how to make your entries. Do not put the "X" in the Posted column at this time. Use the printed Chart of Accounts as a reference source for the Account Numbers and Account Names that are available in Lenny's accounting system To make posting from the General Journal to the General Ledger easier, it is recommended that you print the General Journal -- click the Journal tab and then click the Printer Icon. > Post the entries from the printed General Journal to the General Ledger accounts. Click the GL Assets, GL Liab-Equity, and GL Rev-Exp tabs to find the accounts to be posted. Record your postings directly into the General Ledger. As you post an amount to an account be sure to enter the General Journal Page #into the Journal Page #column. See the first posting to the Cash account for an example. After you post an amount to a General Ledger account, then hand write an "X" in the Posted column of the printed General Journal. This will help you keep track of which entries you have posted > Enter the "X"s, which you hand wrote on your General Journal pages, into the General Journal. Click the Journal tab and enter the "X's in the Posted column Determine the required adjusting entries as of July 31, 2021. The information needed for the adjusting entries is on the page titled "Additional Information". This is the second page that printed when you printed the Trans tab Click the Journal tab and record your adjusting entries in the General Journal. Use the printed Chart of Accounts as a reference source for the Account Numbers and Account Names that are available in Lenny's accounting system. Put your adjusting entries on Page #4 of the General Journal. > Post the adjusting entries from the General Journal to the General Ledger accounts. Click the GL Assets, GL Liab-Equity, and GL Rev-Exp tabs to find the accounts to be posted. As you post an amount to an account be sure to enter the General Journal Page # into the Journal Page # column. After you post an amount to a General Ledger account, click back on the Journal tab and enter an "X" in the Posted column of the General Journal. - Print Lenny's General Ledger by: clicking the GL Assets tab and then clicking the Printer icon, clicking the GL Liab-Equity tab and then clicking the Printer icon, and clicking the GL Rev-Exp tab and then clicking the Printer icon. Using the printed General Ledger, enter the ending account balances into the July 31, 2021 Pre-Closing Trial Balance. Click the Trial Bal tab and enter the amounts into the Pre-Closing Trial Balance. Print the July 31, 2021 Pre-Closing Trial Balance by clicking the Printer icon. LI > Using the printed July 31, 2021 Pre-Closing Trial Balance, prepare the July 2021 Income Statement Click the IS & RE tab and enter the amounts into the Income Statement 1. Using the printed General Ledger and the Net Income amount, prepare the July 2021 Statement of Stockholders' Equity. Click the IS & RE tab and enter the amounts into the Statement of Stockholders' Equity. . Using the printed July 31, 2021 Pre-Closing Trial Balance and the Retained Earnings amount from the Statement of Stockholders' Equity, prepare the July 31, 2021 Balance Sheet. Click the BalSht tab and enter the amounts into the Balance Sheet Prepare the closing entries. Click the Journal tab and enter the closing entries into the General Journal. Place your closing entries on Page #5 of the General Journal. -> Post the closing entries from the General Journal to the General Ledger accounts. Click the GL Liab-Equity, and GL Rev-Exp tabs to find the accounts to be posted. As you post an amount to an account be sure to enter the General Journal Page # into the Journal Page #column. After you post an amount to a General Ledger account, click back on the Journal tab and enter an "X" in the Posted column of the General Journal. . -> Click the Post Close TB tab and prepare the July 31, 2021 Post-Closing Trial Balance. Your project is completel Your instructor will provide you with directions on how to submit your project. Lenny's Lawn Service, Inc. - Transactions - Additional Information July 2021 Transactions Date Description of the Transaction July 1 Borrow $35,000.00 from 1st Bank by signing a 24 month note. (As an example of how to Journalize and post a transaction this transaction has already been entered Into the General Journal and posted to the General Ledger.) July 1 THE JULY TRANSACTIONS WILL APPEAR -- AFTER YOU ENTER YOUR ID CODE July 1 July 1 July 3 July 5 July 7 July 10 July 12 July 14 July 15 July 15 July 17 July 19 July 20 July 21 July 23 July 25 July 27 July 27 July 28 July 31 O July 31 Additional Information Equipment: Supplies: Mowing Service at the University: Wages Due the Employees: Bank Loan: Lenny's Lawn Service, Inc. - Chart of Accounts Account # Account Name Assets: 100 Cash 105 Accounts Receivable 110 Supplies 150 Equipment 155 Accumulated Depreciation Liabilities: 200 Accounts Payable 205 Wages Payable 210 Interest Payable 215 Unearned Revenue 220 Dividends Payable 250 Note Payable Equity: 300 Common Stock 305 Retained Earnings Revenues: 400 Service Revenue Expenses: 500 Supplies Expense 505 Mower Repair Expense 510 Wages Expense 515 Truck Rental Expense 520 Depreciation Expense 550 Interest Expense Lenny's Lawn Service, Inc. Solid Footing 14e Copyright 2021 - General Journal Page # 1 2021 Month-Day 7-1 Account Name Posted Debit Credit Account Number 100 250 35,000.00 Cash Notes Payable Borrowed on Note Payable 35,000.00 Lenny's Lawn Service, Inc. - General Journal Page # 2 2021 Month-Day Account Number Account Name Posted Debit Credit Lenny's Lawn Service, Inc. - General Journal Page # 3 2021 Month-Day Account Number Account Name Posted Debit Credit Lenny's Lawn Service, Inc. - General Journal Page # 4 2021 Month-Day Account Number Account Name Posted Debit Credit Lenny's Lawn Service, Inc. - General Journal Page # 5 2021 Month-Day Account Number Account Name Posted Debit Credit Solid Footing 14e Copyright 2021 Lenny's Lawn Service, Inc. - General Ledger Account # 100 Cash Journal Page # Debit Credit 2021 Month-Day 7-1 Beginning Balance 7-1 Balance 38,250.00 35,000.00 38,250.00 DI 73,250.00 Dr 1 Account # 105 Accounts Receivable Journal Page # Debit 2021 Month-Day 7-1 Beginning Balance Credit Balance 33,500.00 33,500.00 Dr Solid Footing 14e Copyright 2021 Lenny's Lawn Service, Inc. - General Ledger Account # 110 Supplies 2021 Month-Day 7-1 Journal Page # Debit Credit Balance Beginning Balance 4,375.00 4,375.00 Dr Account # 150 Equipment Journal Debit 2021 Month-Day 7-1 Credit Balance Page # Beginning Balance 48,000.00 48,000.00 Dr Account # 155 Accumulated Depreciation 2021 Month-Day 7-1 Journal Page # Debit Credit Balance Beginning Balance 18,000.00 18,000.00 Cr Solid Footing 14e Copyright 2021 Lenny's Lawn Service, Inc. - General Ledger Account # 200 Accounts Payable 2021 Month-Day 7-1 Journal Page # Debit Credit Balance Beginning Balance 0.00 0.00 Cr Account # 205 Wages Payable 2021 Month-Day 7-1 Beginning Balance Journal Page # Debit Credit Balance 0.00 0.00 Cr Account # 210 Interest Payable 2021 Month-Day 7-1 Journal Page # Debit Credit Balance Beginning Balance 0.00 0.00 Cr Account # 215 Unearned Revenue Journal Page # Debit Credit 2021 Month-Day 7-1 Beginning Balance Balance 8,000.00 8,000.00 Cr Lenny's Lawn Service, Inc. Solid Footing 14e Copyright 2021 General Ledger Account # 220 Dividends Payable 2021 Month-Day 7-1 Journal Page # Debit Credit Balance 0.00 Cr Beginning Balance 0.00 Account # 250 Note Payable Journal Page # Debit Credit Balance 2021 Month-Day 7-1 Beginning Balance 7-1 0.00 35,000.00 0.001 Cr 35,000.00 Cr 1 Account # 300 Common Stock Journal Debit Credit Balance 2021 Month-Day 7-1 Beginning Balance Page # 50,000.00 50,000.00 Cr Account # 305 Retained Earnings Journal Page # Debit 2021 Month-Day 7-1 Credit Balance Beginning Balance 48,125.00 48,125.00 Cr Solid Footing 14e Copyright 2021 Lenny's Lawn Service, Inc. - General Ledger Account # 400 Service Revenue Journal Page # Debit 2021 Month-Day 7-1 Credit Balance Beginning Balance 0.00 0.00 Cr Account # 500 Supplies Expense 2021 Month-Day 7-1 Beginning Balance Journal Page # Debit Credit Balance 0.00 0.00 Dr Account # 505 Mower Repair Expense 2021 Month-Day 7-1 Journal Page # Debit Credit Balance Beginning Balance 0.00 0.00 Dr Solid Footing 14e Copyright 2021 Lenny's Lawn Service, Inc. - General Ledger Account # 510 Wages Expense 2021 Month-Day 7-1 Journal Page # Debit Credit Balance Beginning Balance 0.00 0.00 Dr Account # 515 Truck Rental Expense 2021 Month-Day 7-1 Journal Page # Debit Credit Balance Beginning Balance 0.00 0.00 Dr Account # 520 Depreciation Expense 2021 Month-Day 7-1 Beginning Balance Journal Page # Debit Credit Balance 0.00 0.00 Dr Account # 550 Interest Expense 2021 Month-Day 7-1 Journal Page # Debit Credit Balance Beginning Balance 0.00 0.00 Dr 4a1s Solid Footing 14e Copyright 2021 Lenny's - July 31, 2021 Pre-Closing Trial Balance Account # Account Name Debit Credit Enter amounts int by typing in the ai Do NOT copy cell 100 105 110 150 155 200 205 210 215 220 250 300 Cash Accounts Receivable Supplies Equipment Accumulated Depreciation Accounts Payable Wages Payable Interest Payable Unearned Revenue Dividends Payable Note Payable Common Stock Retained Earnings Service Revenue Supplies Expense Mower Repair Expense Wages Expense Truck Rental Expense Depreciation Expense Interest Expense Totals 305 400 500 505 510 515 520 550 0.00 0.00 Solid Footing 140 Copyright 2021 Lenny's Lawn Service, Inc. Income Statement for the Month Ended July 31, 2021 CAUTION Enter amounts into the Financial Statements by typing in the amounts. Do NOT copy cells from the General Ledger or Pre-Closing Trial Balance. Service Revenue Operating Expenses Supplies Expense Mower Repair Expense Wages Expense Truck Rental Expense Depreciation Expense Total Operating Expenses Income from Operations Interest Expense Net Income (Loss) Note the new line item on Lenny's Income Statement Income from Operations. This is Lenny's income from the normal operations of the lawn mowing business. Interest Expense, which is not a cost of operating the business but rather a cost of financing the business, is shown below Income from Operations. Interest Expense is subtracted from Income from Operations to arrive at Net Income. 0.00 0.00 $0.00 Lenny's Lawn Service, Inc. Statement of Stockholders' Equity for the Month Ended July 31, 2021 This is the first time you have prepared a formal Statement of Stockholders' Equity for Lenny's. This statement shows what caused the change in Common Stock and in Retained Earnings from July 1, 2021 to July 31, 2021. Note that the Retained Earnings column on the statement looks different than the calculation you have been doing each month to determine the Retained Earnings amount needed for the Balance Sheet Beginning Balance is the starting amount in In previous Retained Earnings calculations, you used Current Balance as the starting amount. Beginning Balance is the starting point for this calculation, because Dividends is shown as a line item (a deduction) in the Retained Earnings column. Common Stock Retained Earnings Totat Beginning Balance July 1, 2021 Issue Common Stock Net Income (Loss) Dividends Ending Balance July 31, 2021 $0.00 0.00 ..0.00 0.00 $0.00 The Ending Balance in the Retained Earnings column is the balance needed for the Balance Sheet. $0.00 $0.00 Solid Footing 14e Copyright 2021 Lenny's Lawn Service, Inc. Balance Sheet as of July 31, 2021 CAUTION Enter amounts into the Balance Sheet by typing in the amounts Do NOT copy cells from the General Ledger or Pre-Closing Tria Assets Current Assets: Cash Accounts Receivable Supplies Total Current Assets Note the following three new sub-totals appearing on Lenny's Balance Sheet: 0.00 Property & Equipment: Equipment Accumulated Depreciation Property & Equipment, net Total Assets Total Current Assets is a total of those assets, which will turn into cash during the next 12 months or be consumed during the next 12 months. The comparison of Total Current Assets to Total Current Liabilities gives some indication of Lenny's liquidity - that is, its ability to pay its bills in the short-term. 0.00 $0.00 Property & Equipment, net is the amount of Fixed Asset cost, which remains to be depreciated in future accounting periods. Total Current Liabilities is a total of those liabilities that will require payment in the next 12 months. In the case of Unearned Revenue, this current liability will be "paid-off" by Lenny's delivering mowing services to the university 0.004 Liabilities & Stockholders' Equity Current Liabilities: Accounts Payable Wages Payable Interest Payable Unearned Revenue Total Current Liabilities Long-Term Liabilities: Note Payable Total Liabilities Stockholders' Equity: Common Stock Retained Earnings Total Stockholders' Equity Total Liabilities & Stockholders' Equity 0.00 0.00 $0.00 Solid Footing 14e Copyright 2021 Lenny's - July 31, 2021 Post-Closing Trial Balance Account # Account Name Debit Credit Enter amounts int by typing in the ar Do NOT copy cell 100 105 110 150 155 200 205 210 215 220 250 300 305 400 500 505 510 515 520 550 Cash Accounts Receivable Supplies Equipment Accumulated Depreciation Accounts Payable Wages Payable Interest Payable Unearned Revenue Dividends Payable Note Payable Common Stock Retained Earnings Service Revenue Supplies Expense Mower Repair Expense Wages Expense Truck Rental Expense Depreciation Expense Interest Expense Totals 0.00 0.00 Accounting Cycle Project Solid Footing 14e To activate your project, enter your: Software ID Code, First Name, and Last Name (press the Enter Key) -- then click Activate Project Your Software ID Code can be found in the email you received when you purchased Solid Footing. TYPE IN your Software ID Code - do NOT COPY and PASTE your code from your email. Software ID Code First Name: Last Name: Press the Enter key after you enter your Last Name As you work on your project, be sure to save your file often. Instructions: You will be recording the July 2021 transactions for Lenny's Lawn Service, Inc. After recording the July transactions you will be preparing a Pre-Closing Trial Balance, Income Statement, Statement of Stockholders' Equity, Balance Sheet, and Post-Closing Trial Balance -> > You are given the following: July 2021 transactions and Additional Information - Trans tab Chart of Accounts with Account Numbers and Account Names -- Chart Accts tab General Journal pages -- Journal tab General Ledger - GL Assets, GL Liab-Equity, GL Rev-Exp tabs Forms for the July 31, 2021: Pre-Closing Trial Balance (Trial Bal tab). Income Statement and Calculation of Retained Earnings (IS & RE tab). Balance Sheet (BalSht tab), and Post-Closing Trial Balance (Post Close TB tab) > To Complete Your Workbook do the following: > Print the July Transactions (click the Trans tab and then click the Printer Icon) Use YOUR Transaction sheets - do not use another student's sheets Print the Chart of Accounts (click the Chart Accts tab and then click the Printer Icon) Record the July transactions in the General Journal. Click the Journal tab and record your entries directly into the General Journal. Look at the July 1 Notes Payable transaction, which has already been entered, for an example of how to make your entries. Do not put the "X" in the Posted column at this time. Use the printed Chart of Accounts as a reference source for the Account Numbers and Account Names that are available in Lenny's accounting system To make posting from the General Journal to the General Ledger easier, it is recommended that you print the General Journal -- click the Journal tab and then click the Printer Icon. > Post the entries from the printed General Journal to the General Ledger accounts. Click the GL Assets, GL Liab-Equity, and GL Rev-Exp tabs to find the accounts to be posted. Record your postings directly into the General Ledger. As you post an amount to an account be sure to enter the General Journal Page #into the Journal Page #column. See the first posting to the Cash account for an example. After you post an amount to a General Ledger account, then hand write an "X" in the Posted column of the printed General Journal. This will help you keep track of which entries you have posted > Enter the "X"s, which you hand wrote on your General Journal pages, into the General Journal. Click the Journal tab and enter the "X's in the Posted column Determine the required adjusting entries as of July 31, 2021. The information needed for the adjusting entries is on the page titled "Additional Information". This is the second page that printed when you printed the Trans tab Click the Journal tab and record your adjusting entries in the General Journal. Use the printed Chart of Accounts as a reference source for the Account Numbers and Account Names that are available in Lenny's accounting system. Put your adjusting entries on Page #4 of the General Journal. > Post the adjusting entries from the General Journal to the General Ledger accounts. Click the GL Assets, GL Liab-Equity, and GL Rev-Exp tabs to find the accounts to be posted. As you post an amount to an account be sure to enter the General Journal Page # into the Journal Page # column. After you post an amount to a General Ledger account, click back on the Journal tab and enter an "X" in the Posted column of the General Journal. - Print Lenny's General Ledger by: clicking the GL Assets tab and then clicking the Printer icon, clicking the GL Liab-Equity tab and then clicking the Printer icon, and clicking the GL Rev-Exp tab and then clicking the Printer icon. Using the printed General Ledger, enter the ending account balances into the July 31, 2021 Pre-Closing Trial Balance. Click the Trial Bal tab and enter the amounts into the Pre-Closing Trial Balance. Print the July 31, 2021 Pre-Closing Trial Balance by clicking the Printer icon. LI > Using the printed July 31, 2021 Pre-Closing Trial Balance, prepare the July 2021 Income Statement Click the IS & RE tab and enter the amounts into the Income Statement 1. Using the printed General Ledger and the Net Income amount, prepare the July 2021 Statement of Stockholders' Equity. Click the IS & RE tab and enter the amounts into the Statement of Stockholders' Equity. . Using the printed July 31, 2021 Pre-Closing Trial Balance and the Retained Earnings amount from the Statement of Stockholders' Equity, prepare the July 31, 2021 Balance Sheet. Click the BalSht tab and enter the amounts into the Balance Sheet Prepare the closing entries. Click the Journal tab and enter the closing entries into the General Journal. Place your closing entries on Page #5 of the General Journal. -> Post the closing entries from the General Journal to the General Ledger accounts. Click the GL Liab-Equity, and GL Rev-Exp tabs to find the accounts to be posted. As you post an amount to an account be sure to enter the General Journal Page # into the Journal Page #column. After you post an amount to a General Ledger account, click back on the Journal tab and enter an "X" in the Posted column of the General Journal. . -> Click the Post Close TB tab and prepare the July 31, 2021 Post-Closing Trial Balance. Your project is completel Your instructor will provide you with directions on how to submit your project. Lenny's Lawn Service, Inc. - Transactions - Additional Information July 2021 Transactions Date Description of the Transaction July 1 Borrow $35,000.00 from 1st Bank by signing a 24 month note. (As an example of how to Journalize and post a transaction this transaction has already been entered Into the General Journal and posted to the General Ledger.) July 1 THE JULY TRANSACTIONS WILL APPEAR -- AFTER YOU ENTER YOUR ID CODE July 1 July 1 July 3 July 5 July 7 July 10 July 12 July 14 July 15 July 15 July 17 July 19 July 20 July 21 July 23 July 25 July 27 July 27 July 28 July 31 O July 31 Additional Information Equipment: Supplies: Mowing Service at the University: Wages Due the Employees: Bank Loan: Lenny's Lawn Service, Inc. - Chart of Accounts Account # Account Name Assets: 100 Cash 105 Accounts Receivable 110 Supplies 150 Equipment 155 Accumulated Depreciation Liabilities: 200 Accounts Payable 205 Wages Payable 210 Interest Payable 215 Unearned Revenue 220 Dividends Payable 250 Note Payable Equity: 300 Common Stock 305 Retained Earnings Revenues: 400 Service Revenue Expenses: 500 Supplies Expense 505 Mower Repair Expense 510 Wages Expense 515 Truck Rental Expense 520 Depreciation Expense 550 Interest Expense Lenny's Lawn Service, Inc. Solid Footing 14e Copyright 2021 - General Journal Page # 1 2021 Month-Day 7-1 Account Name Posted Debit Credit Account Number 100 250 35,000.00 Cash Notes Payable Borrowed on Note Payable 35,000.00 Lenny's Lawn Service, Inc. - General Journal Page # 2 2021 Month-Day Account Number Account Name Posted Debit Credit Lenny's Lawn Service, Inc. - General Journal Page # 3 2021 Month-Day Account Number Account Name Posted Debit Credit Lenny's Lawn Service, Inc. - General Journal Page # 4 2021 Month-Day Account Number Account Name Posted Debit Credit Lenny's Lawn Service, Inc. - General Journal Page # 5 2021 Month-Day Account Number Account Name Posted Debit Credit Solid Footing 14e Copyright 2021 Lenny's Lawn Service, Inc. - General Ledger Account # 100 Cash Journal Page # Debit Credit 2021 Month-Day 7-1 Beginning Balance 7-1 Balance 38,250.00 35,000.00 38,250.00 DI 73,250.00 Dr 1 Account # 105 Accounts Receivable Journal Page # Debit 2021 Month-Day 7-1 Beginning Balance Credit Balance 33,500.00 33,500.00 Dr Solid Footing 14e Copyright 2021 Lenny's Lawn Service, Inc. - General Ledger Account # 110 Supplies 2021 Month-Day 7-1 Journal Page # Debit Credit Balance Beginning Balance 4,375.00 4,375.00 Dr Account # 150 Equipment Journal Debit 2021 Month-Day 7-1 Credit Balance Page # Beginning Balance 48,000.00 48,000.00 Dr Account # 155 Accumulated Depreciation 2021 Month-Day 7-1 Journal Page # Debit Credit Balance Beginning Balance 18,000.00 18,000.00 Cr Solid Footing 14e Copyright 2021 Lenny's Lawn Service, Inc. - General Ledger Account # 200 Accounts Payable 2021 Month-Day 7-1 Journal Page # Debit Credit Balance Beginning Balance 0.00 0.00 Cr Account # 205 Wages Payable 2021 Month-Day 7-1 Beginning Balance Journal Page # Debit Credit Balance 0.00 0.00 Cr Account # 210 Interest Payable 2021 Month-Day 7-1 Journal Page # Debit Credit Balance Beginning Balance 0.00 0.00 Cr Account # 215 Unearned Revenue Journal Page # Debit Credit 2021 Month-Day 7-1 Beginning Balance Balance 8,000.00 8,000.00 Cr Lenny's Lawn Service, Inc. Solid Footing 14e Copyright 2021 General Ledger Account # 220 Dividends Payable 2021 Month-Day 7-1 Journal Page # Debit Credit Balance 0.00 Cr Beginning Balance 0.00 Account # 250 Note Payable Journal Page # Debit Credit Balance 2021 Month-Day 7-1 Beginning Balance 7-1 0.00 35,000.00 0.001 Cr 35,000.00 Cr 1 Account # 300 Common Stock Journal Debit Credit Balance 2021 Month-Day 7-1 Beginning Balance Page # 50,000.00 50,000.00 Cr Account # 305 Retained Earnings Journal Page # Debit 2021 Month-Day 7-1 Credit Balance Beginning Balance 48,125.00 48,125.00 Cr Solid Footing 14e Copyright 2021 Lenny's Lawn Service, Inc. - General Ledger Account # 400 Service Revenue Journal Page # Debit 2021 Month-Day 7-1 Credit Balance Beginning Balance 0.00 0.00 Cr Account # 500 Supplies Expense 2021 Month-Day 7-1 Beginning Balance Journal Page # Debit Credit Balance 0.00 0.00 Dr Account # 505 Mower Repair Expense 2021 Month-Day 7-1 Journal Page # Debit Credit Balance Beginning Balance 0.00 0.00 Dr Solid Footing 14e Copyright 2021 Lenny's Lawn Service, Inc. - General Ledger Account # 510 Wages Expense 2021 Month-Day 7-1 Journal Page # Debit Credit Balance Beginning Balance 0.00 0.00 Dr Account # 515 Truck Rental Expense 2021 Month-Day 7-1 Journal Page # Debit Credit Balance Beginning Balance 0.00 0.00 Dr Account # 520 Depreciation Expense 2021 Month-Day 7-1 Beginning Balance Journal Page # Debit Credit Balance 0.00 0.00 Dr Account # 550 Interest Expense 2021 Month-Day 7-1 Journal Page # Debit Credit Balance Beginning Balance 0.00 0.00 Dr 4a1s Solid Footing 14e Copyright 2021 Lenny's - July 31, 2021 Pre-Closing Trial Balance Account # Account Name Debit Credit Enter amounts int by typing in the ai Do NOT copy cell 100 105 110 150 155 200 205 210 215 220 250 300 Cash Accounts Receivable Supplies Equipment Accumulated Depreciation Accounts Payable Wages Payable Interest Payable Unearned Revenue Dividends Payable Note Payable Common Stock Retained Earnings Service Revenue Supplies Expense Mower Repair Expense Wages Expense Truck Rental Expense Depreciation Expense Interest Expense Totals 305 400 500 505 510 515 520 550 0.00 0.00 Solid Footing 140 Copyright 2021 Lenny's Lawn Service, Inc. Income Statement for the Month Ended July 31, 2021 CAUTION Enter amounts into the Financial Statements by typing in the amounts. Do NOT copy cells from the General Ledger or Pre-Closing Trial Balance. Service Revenue Operating Expenses Supplies Expense Mower Repair Expense Wages Expense Truck Rental Expense Depreciation Expense Total Operating Expenses Income from Operations Interest Expense Net Income (Loss) Note the new line item on Lenny's Income Statement Income from Operations. This is Lenny's income from the normal operations of the lawn mowing business. Interest Expense, which is not a cost of operating the business but rather a cost of financing the business, is shown below Income from Operations. Interest Expense is subtracted from Income from Operations to arrive at Net Income. 0.00 0.00 $0.00 Lenny's Lawn Service, Inc. Statement of Stockholders' Equity for the Month Ended July 31, 2021 This is the first time you have prepared a formal Statement of Stockholders' Equity for Lenny's. This statement shows what caused the change in Common Stock and in Retained Earnings from July 1, 2021 to July 31, 2021. Note that the Retained Earnings column on the statement looks different than the calculation you have been doing each month to determine the Retained Earnings amount needed for the Balance Sheet Beginning Balance is the starting amount in In previous Retained Earnings calculations, you used Current Balance as the starting amount. Beginning Balance is the starting point for this calculation, because Dividends is shown as a line item (a deduction) in the Retained Earnings column. Common Stock Retained Earnings Totat Beginning Balance July 1, 2021 Issue Common Stock Net Income (Loss) Dividends Ending Balance July 31, 2021 $0.00 0.00 ..0.00 0.00 $0.00 The Ending Balance in the Retained Earnings column is the balance needed for the Balance Sheet. $0.00 $0.00 Solid Footing 14e Copyright 2021 Lenny's Lawn Service, Inc. Balance Sheet as of July 31, 2021 CAUTION Enter amounts into the Balance Sheet by typing in the amounts Do NOT copy cells from the General Ledger or Pre-Closing Tria Assets Current Assets: Cash Accounts Receivable Supplies Total Current Assets Note the following three new sub-totals appearing on Lenny's Balance Sheet: 0.00 Property & Equipment: Equipment Accumulated Depreciation Property & Equipment, net Total Assets Total Current Assets is a total of those assets, which will turn into cash during the next 12 months or be consumed during the next 12 months. The comparison of Total Current Assets to Total Current Liabilities gives some indication of Lenny's liquidity - that is, its ability to pay its bills in the short-term. 0.00 $0.00 Property & Equipment, net is the amount of Fixed Asset cost, which remains to be depreciated in future accounting periods. Total Current Liabilities is a total of those liabilities that will require payment in the next 12 months. In the case of Unearned Revenue, this current liability will be "paid-off" by Lenny's delivering mowing services to the university 0.004 Liabilities & Stockholders' Equity Current Liabilities: Accounts Payable Wages Payable Interest Payable Unearned Revenue Total Current Liabilities Long-Term Liabilities: Note Payable Total Liabilities Stockholders' Equity: Common Stock Retained Earnings Total Stockholders' Equity Total Liabilities & Stockholders' Equity 0.00 0.00 $0.00 Solid Footing 14e Copyright 2021 Lenny's - July 31, 2021 Post-Closing Trial Balance Account # Account Name Debit Credit Enter amounts int by typing in the ar Do NOT copy cell 100 105 110 150 155 200 205 210 215 220 250 300 305 400 500 505 510 515 520 550 Cash Accounts Receivable Supplies Equipment Accumulated Depreciation Accounts Payable Wages Payable Interest Payable Unearned Revenue Dividends Payable Note Payable Common Stock Retained Earnings Service Revenue Supplies Expense Mower Repair Expense Wages Expense Truck Rental Expense Depreciation Expense Interest Expense Totals 0.00 0.00
Step by Step Solution
There are 3 Steps involved in it
Get step-by-step solutions from verified subject matter experts
