Question: Additional info: Aggregate demand for x 1 is 15.05 units. Aggregate demand for x 2 is 4.30 units. Demand function for: x 1 = 3m/4P


Additional info:
Aggregate demand for x1is 15.05 units.
Aggregate demand for x2is 4.30 units.
Demand function for: x1 = 3m/4P1
Demand function for: x2 = m/4P2
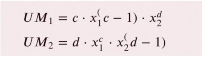
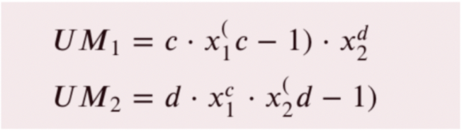
utility function:


Step by Step Solution
There are 3 Steps involved in it
Get step-by-step solutions from verified subject matter experts
