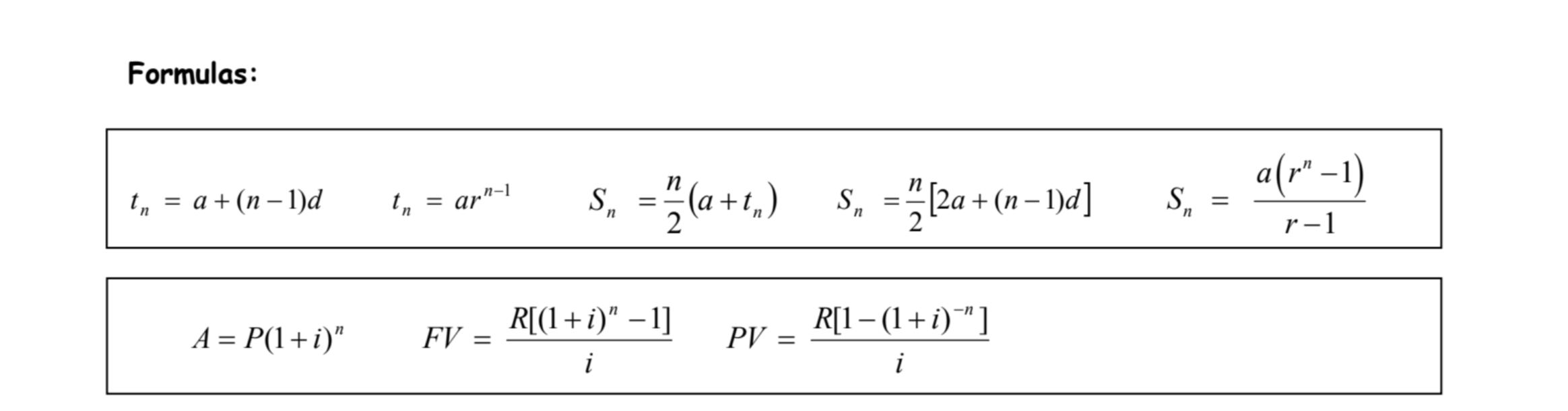
Question: All answers should be based on given formulas: 3. DeTerrnine The simplified general Term (The nTh Term) for The ariThmeTic sequence wiTh Ta = 130



All answers should be based on given formulas:



3. DeTerrnine The simplified general Term (The nTh Term) for The ariThmeTic sequence wiTh Ta = 130 and T5 = 67. NoTe: you musT use The algebraic approach No shorTcuTs
Step by Step Solution
There are 3 Steps involved in it
Get step-by-step solutions from verified subject matter experts
