Question: all is one question. help please Question 1 15 pts Let e1, e2, . . . enbe an orthonormal basis in R. That means ej
all is one question. help please


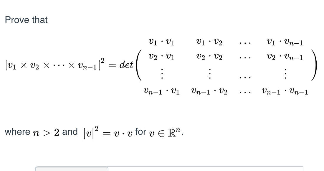
Question 1 15 pts Let e1, e2, . . . enbe an orthonormal basis in R". That means ej . ej = 1 for j = 1, 2, ...n and ej . ek = 0 for j * k The vector product v1 X 12 in R3 is defined as determinant e1 e2 e3 det V11 V12 V13 V21 U22 V23 formally evaluated according to the Laplace rule with respect to the first row. One can formally define the vector product v1 X 12 X . . . X Un-1 in R" as determinant e1 22 en V11 V12 Vin det . . Un-11 Un-12 Un-In formally evaluated according to the Laplace rule with respect to the first row. Prove that\f
Step by Step Solution
There are 3 Steps involved in it
Get step-by-step solutions from verified subject matter experts
