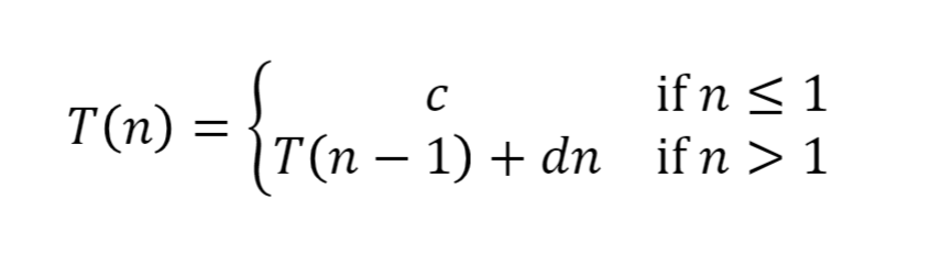
Question: An example. With the above example as a reference, now please help me solve this problem. Insertion Sort Reduction S(A[a ... b]) = = {insert(ata)
An example.

![me solve this problem. Insertion Sort Reduction S(A[a ... b]) = =](https://dsd5zvtm8ll6.cloudfront.net/si.experts.images/questions/2024/09/66f30179597d1_65666f30178f1403.jpg)
With the above example as a reference, now please help me solve this problem.
![{insert(ata) if a b insert(A[a], S(A[a + 1 ... b])) if a](https://dsd5zvtm8ll6.cloudfront.net/si.experts.images/questions/2024/09/66f3017a1ec54_65766f30179978c5.jpg)

Insertion Sort Reduction S(A[a ... b]) = = {insert(ata) if a b insert(A[a], S(A[a + 1 ... b])) if a 1 a || denotes the concatenation of lists a and in this order); denotes the empty string; len(s) 20 denotes the length (number of characters) on string s; minx(A[a ... b]) denotes the index (in range a... b]) of the minimum odd element from list A[a... b]; t=a+[(b a)/3] and t2 = b-[(b-a)/31 denote the indices at one third and two thirds the way from a to b, respectively; pairsort(X,Y) denotes either Y || X (if X and Y are both odd and X>Y) or X || Y (other- wise). Consider the problem of sorting the odd elements in a list of integers while keeping the even ones unchanged in their original places. Sort the odd elements in a list (ODDSORT) Input: A[l...n] a list of integers. Output: List A'[1... n] such that A[i] = A[i] if A[i] is even, and A'[i] S A[j] for all 1 sis jsn such that A[i] and A[j] are both odd. OS(A[a... b]) = A A[a] || OS(A[a +1... b]) A[k] || OS(A[a+1...k 1] || A[a] || A[k +1... b]) if a > b if a 1 a || denotes the concatenation of lists a and in this order); denotes the empty string; len(s) 20 denotes the length (number of characters) on string s; minx(A[a ... b]) denotes the index (in range a... b]) of the minimum odd element from list A[a... b]; t=a+[(b a)/3] and t2 = b-[(b-a)/31 denote the indices at one third and two thirds the way from a to b, respectively; pairsort(X,Y) denotes either Y || X (if X and Y are both odd and X>Y) or X || Y (other- wise). Consider the problem of sorting the odd elements in a list of integers while keeping the even ones unchanged in their original places. Sort the odd elements in a list (ODDSORT) Input: A[l...n] a list of integers. Output: List A'[1... n] such that A[i] = A[i] if A[i] is even, and A'[i] S A[j] for all 1 sis jsn such that A[i] and A[j] are both odd. OS(A[a... b]) = A A[a] || OS(A[a +1... b]) A[k] || OS(A[a+1...k 1] || A[a] || A[k +1... b]) if a > b if a
Step by Step Solution
There are 3 Steps involved in it
Get step-by-step solutions from verified subject matter experts
