Question: Anova table Refer to the ANOVA table for this regression. Source 55 MS Regression 2 578,459 289 230 Error 16 364,647 22.790 Total 943, 108
Anova table


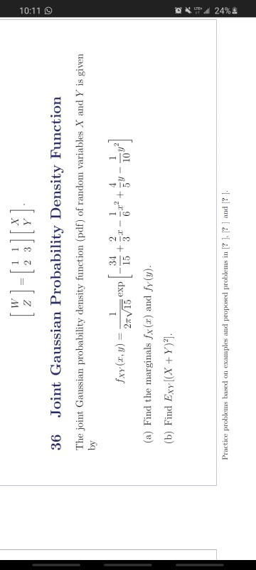
Refer to the ANOVA table for this regression. Source 55 MS Regression 2 578,459 289 230 Error 16 364,647 22.790 Total 943, 108 () State the degrees of freedom for the F test for overall significance. The degrees of freedom for regression are and for error ( Use Appendix E to look up the critical value of F for a = .05. (Round your answer to 2 decimal places.) ()Calculate the F statistic. (Round your answer to 3 decimal places.) F statistic (02) The overall regression is significant. O Yes No (e-3) The hypotheses are " Ho: All the coefficients are zero (81 = 82 = 83 = 0) vs. Hy: At least one coefficient is not zero. b. Ho: At least one coefficient is non-zero vs. Hy: All the coefficients are zero (81 = $2 = 83 = 0) O a Calculate RZ and R-adj. (Round your answers to 4 decimal places.)10:11 9 36 Joint Gaussian Probability Density Function The joint Gaussian probability density function (pdf) of random variables X and Y is given fxy (x, y) = 27 \\15 exp (a) Find the marginals fx(x) and fy(y). (b) Find Exr[(X + Y) 3]. d 24%2 Practice problems based on examples and proposed problems in [? ], [? ] and [? ]
Step by Step Solution
There are 3 Steps involved in it
Get step-by-step solutions from verified subject matter experts
