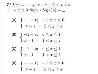
Question: If f(x) = -1+ |x 2|, 0
If f(x) = -1+ |x 2|, 0
Step by Step Solution
3.49 Rating (156 Votes )
There are 3 Steps involved in it
Get step-by-step solutions from verified subject matter experts
Back to School Deal
Get 50% OFF
Study Help!
--h --m --s
Claim Now

If f(x) = -1+ |x 2|, 0
3.49 Rating (156 Votes )
There are 3 Steps involved in it
Get step-by-step solutions from verified subject matter experts