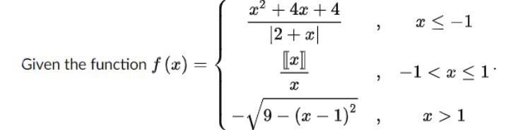
Question: ANSWER ASAP. x + 4x + 4 21 12 Given the function f (x) , 1
ANSWER ASAP.

x + 4x + 4 21
12 Given the function f (x) , 1
Step by Step Solution
There are 3 Steps involved in it
Get step-by-step solutions from verified subject matter experts
