Question: Answer key: b)40 Hi, can someone help me with this question? the answer key says the answer is b) 40 but I was wondering how?...



Answer key: b)40
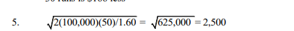
Hi, can someone help me with this question? the answer key says the answer is b) 40 but I was wondering how?... the calculation above shows 2500... where is this 40 coming from???
please show your work and thank you!
Liberty Celebrations, Inc. manufactures a line of flags. The annual demand for its flag display is estimated to be 100,000 units. The annual cost of carrying one unit in inventory is $1.60, and the cost to initiate a production run is $50. There are no flag displays on hand but Liberty had scheduled 60 equal production runs of the display sets for the coming year, the first of which is to be run immediately. Liberty Celebrations has 250 business days per year. Assume that sales occur uniformly throughout the year and that production is instantaneous. [CMA Adapted] The number of production runs per year of the flag displays that would minimize the sum of carrying costs and set-up costs for the coming year is 50. 30. 20. 20100.00 50/1.60 = (625,000 = 2,500
Step by Step Solution
There are 3 Steps involved in it
Get step-by-step solutions from verified subject matter experts
