Question: ANSWER number 1 only Topic: Basic limits theorems of algebraic functions Please answer number 1 complete the table and explain to me how show shortn

ANSWER number 1 only
Topic: Basic limits theorems of algebraic functions
Please answer number 1 complete the table and explain to me how
show shortn solution

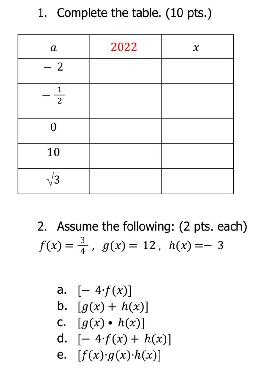
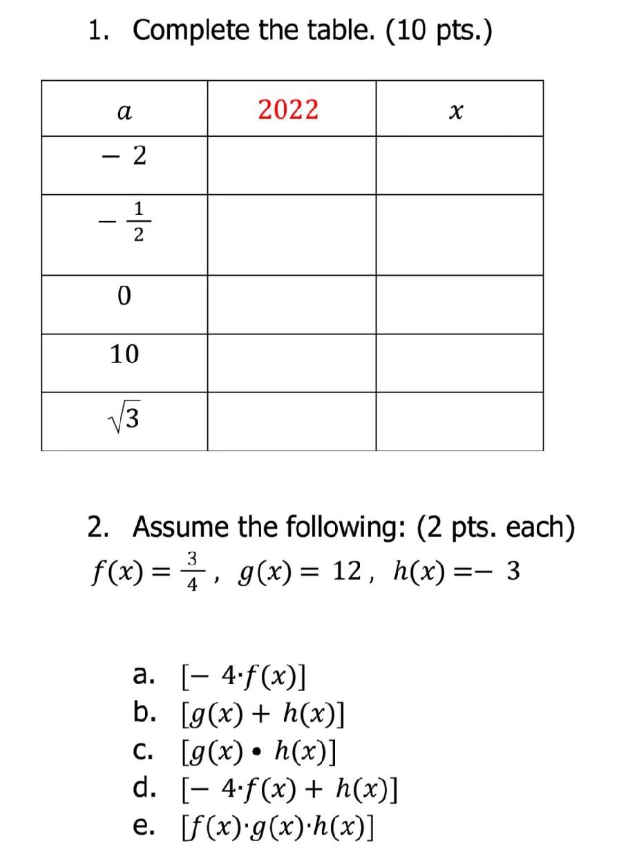
1. Complete the table. (10 pts.) a 2022 X - 2 2 0 10 V3 2. Assume the following: (2 pts. each) f(x) = 4, g(x) = 12, h(x) =- 3 a. [- 4.f (x) ] b. [g(x) + h(x)] c. [g(x) . h(x)] d. [- 4.f (x) + h(x)] e. [f (x).g(x).h(x)]
Step by Step Solution
There are 3 Steps involved in it
Get step-by-step solutions from verified subject matter experts
