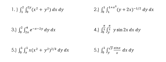
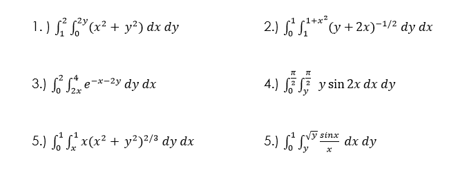
Question: Answer the following: Double Integration 2 2y 2 + y2) dx dy 4 e 2y dy dx 5.) fol X(X2 + y2)2/3 dy dx 1

2 2y 2 + y2) dx dy 4 e 2y dy dx

Answer the following:

Double Integration

5.) fol X(X2 + y2)2/3 dy dx 1 1+x2 2.) f 1

2 2y 2 + y2) dx dy 4 e 2y dy dx 5.) fol X(X2 + y2)2/3 dy dx 1 1+x2 2.) f 1 (y + 2x)-1/2 dy dx 4.) ysin2xdxdy I stnx 5.) fo fy x dxdy

Step by Step Solution

There are 3 Steps involved in it

1 Expert Approved Answer
Step: 1 Unlock blur-text-image
Question Has Been Solved by an Expert!

Get step-by-step solutions from verified subject matter experts

Step: 2 Unlock
Step: 3 Unlock

Students Have Also Explored These Related Mathematics Questions!