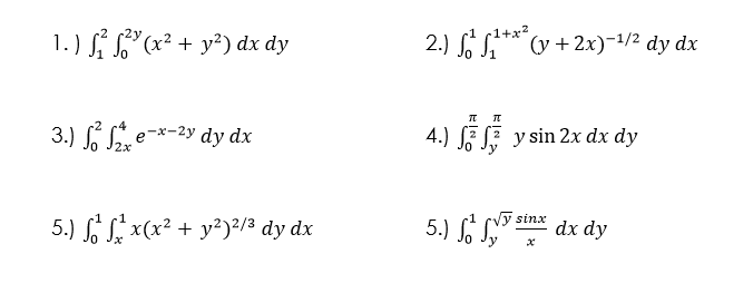
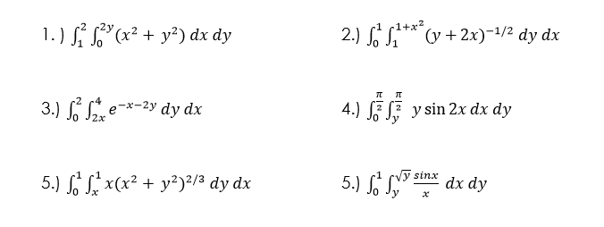
Question: Answer the following: Double Integration 2 2y 2 + y2) dx dy 4 e 2y dy dx 5.) fol X(X2 + y2)2/3 dy dx 1

Answer the following:
Double Integration

2 2y 2 + y2) dx dy 4 e 2y dy dx 5.) fol X(X2 + y2)2/3 dy dx 1 1+x2 2.) f 1 (y + 2x)-1/2 dy dx 4.) ysin2xdxdy I stnx 5.) fo fy x dxdy
Step by Step Solution
There are 3 Steps involved in it
Get step-by-step solutions from verified subject matter experts
