Question: Answer the following: Giwon ' ST / 2 20 cos 38 - losin At A = ( 2 + 1 2 ) 3/ 45 F



Answer the following:
![2 Cus 45 - 15 48 2 / 60 1(-14 ]2) 3](https://s3.amazonaws.com/si.experts.images/answers/2024/06/66765c80d05d1_96066765c80be7a4.jpg)


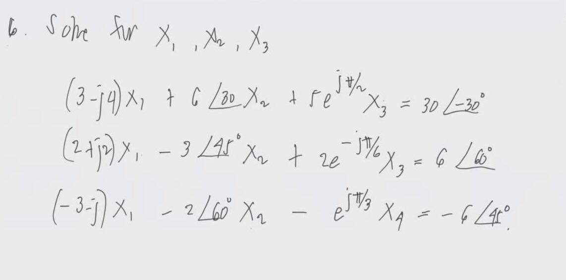
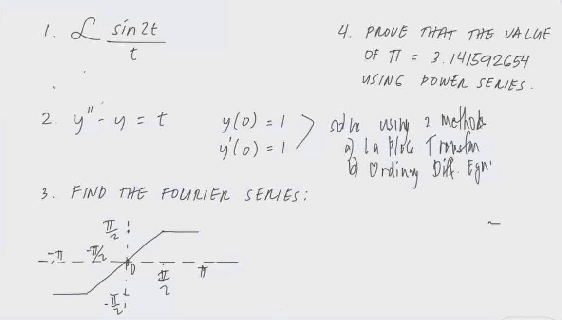
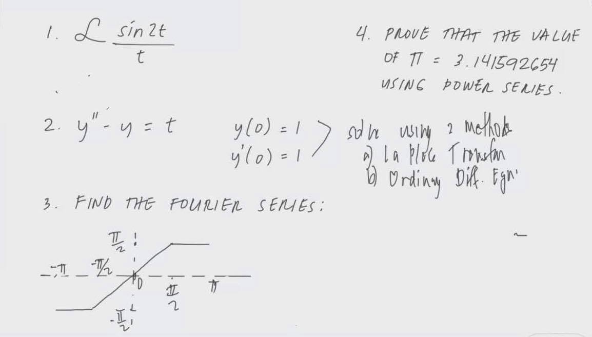
Giwon ' ST / 2 20 cos 38 - losin At A = ( 2 + 1 2 ) 3/ 45 F cos 45 + j sin go (- 3 - ) 2 Cus 45 - 15 48 2 / 60 1(-14 ]2) 3 /90 3 Cos 90 + i SinBo Find the inverse6. Some for X , An, 13 (3- 14) X , +6 / 30 X , + se 17 /~ x. = 30 - 30 - 1 / 6 * , = 6 / 60 " 17 /3 XA = - 6 / 410 (- 3 - 1 ) X1 - 2 / 60 X2 - E1. f sin 2t 4. PROVE THAT THE VALUE t OF 17 = 3. 141592654 USING POWER SERIES. 2 . y" - y = t y (0 ) = 1 some using 2 method y (0 ) = 1 ") la ploce Tronstan 6) Ordingy Diff Egn' 3. FIND THE FOURIER SERIES: IT ! AL
Step by Step Solution
There are 3 Steps involved in it
Get step-by-step solutions from verified subject matter experts
