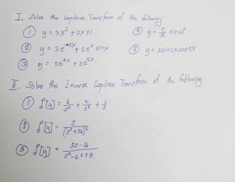
Question: Answer the following in paper and scan your answer. I. Solve the Laplace Transform of the following: 1 4 = 3 x2 + 2* +1

Answer the following in paper and scan your answer.

I. Solve the Laplace Transform of the following: 1 4 = 3 x2 + 2* +1 4 u = + sinot 2) 4 = 30 5x + 2 ex siny 3) y = 35in2x cos 2X 3 e = zet* + 3e2x, H. Solve the Inverse Laplace Transform of the following: (1 fly] = 75 +36 ) 2 ( 3) fly = 58 - 16 126 5 +8
Step by Step Solution
There are 3 Steps involved in it
1 Expert Approved Answer
Step: 1 Unlock
Question Has Been Solved by an Expert!
Get step-by-step solutions from verified subject matter experts
Step: 2 Unlock
Step: 3 Unlock
