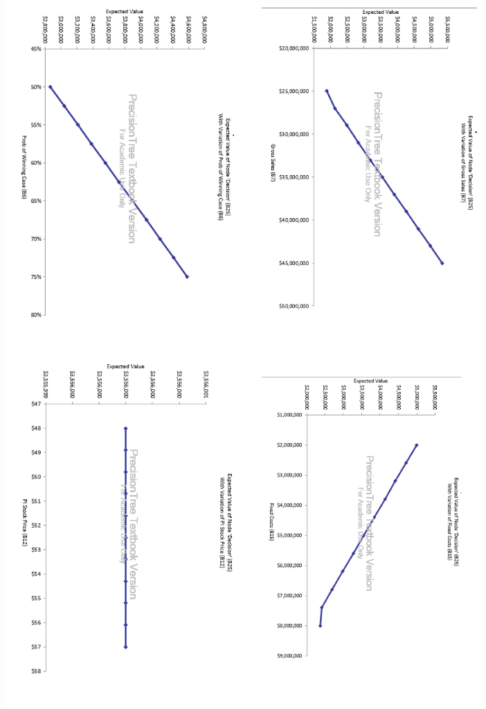
Question: Answer the following questions based on the Tornado and Sensitivity graphs given below. a. Which input variables are the most and the least impactful variables?
Answer the following questions based on the Tornado and Sensitivity graphs given below.
a. Which input variables are the most and the least impactful variables? Please mention two for each case.
b. How the objective function changes by changing the most impactful input variable?

Step by Step Solution
There are 3 Steps involved in it
Get step-by-step solutions from verified subject matter experts
