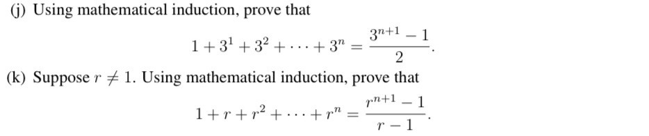
Question: Answer the following questions: j and k. (j) Using mathematical induction, prove that gn+1 - 1 1+31 + 32 +...+ 37 2 (k) Suppose r
Answer the following questions: j and k.

Step by Step Solution
There are 3 Steps involved in it
1 Expert Approved Answer
Step: 1 Unlock
Question Has Been Solved by an Expert!
Get step-by-step solutions from verified subject matter experts
Step: 2 Unlock
Step: 3 Unlock
