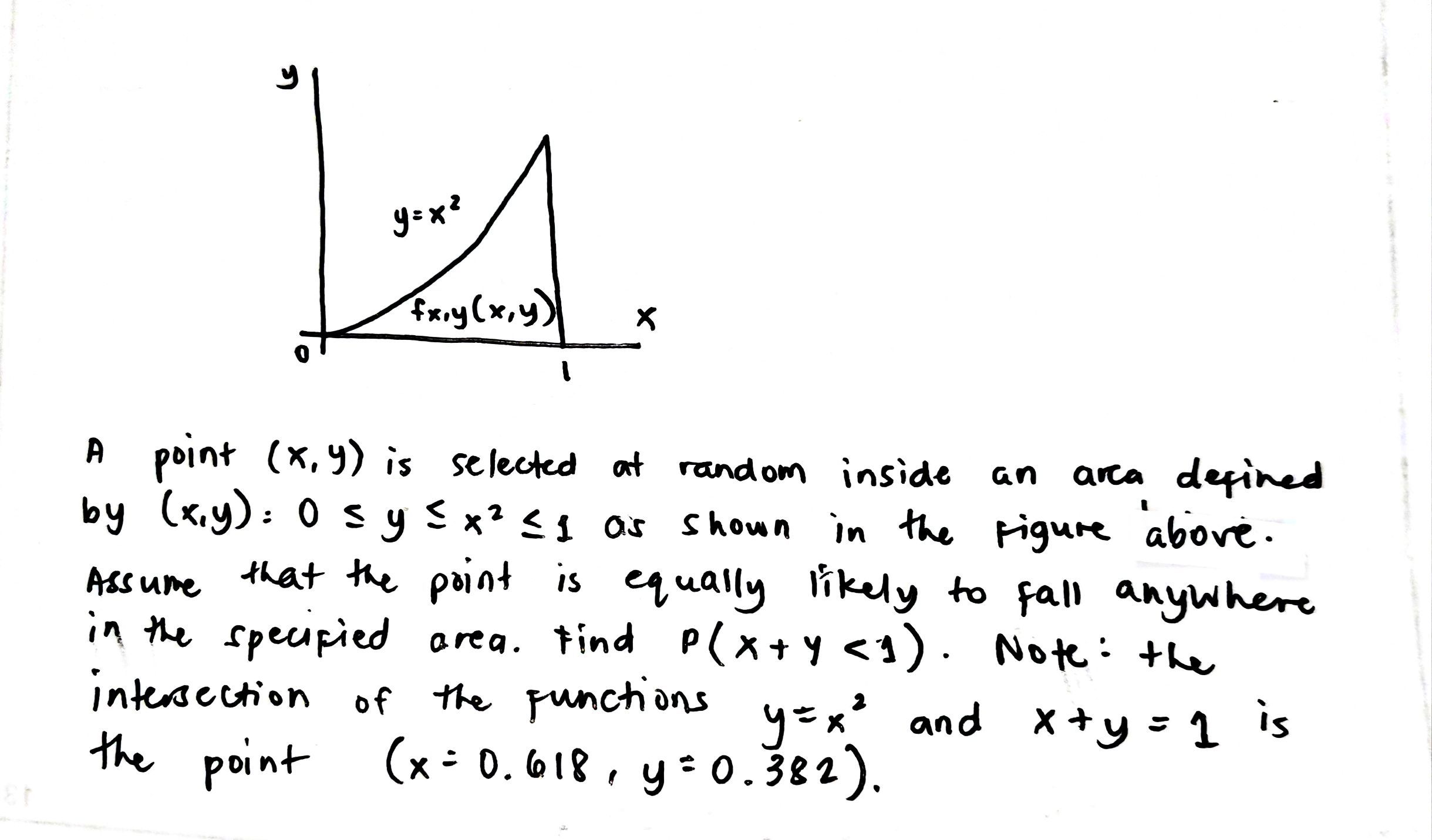
Question: Answer the following: y y=x 2 fxiy ( x , y ) X A point ( x, y ) is selected at random inside an
Answer the following:

y y=x 2 fxiy ( x , y ) X A point ( x, y ) is selected at random inside an arca defined by ( x,y ) : O s y = x?
Step by Step Solution
There are 3 Steps involved in it
1 Expert Approved Answer
Step: 1 Unlock
Question Has Been Solved by an Expert!
Get step-by-step solutions from verified subject matter experts
Step: 2 Unlock
Step: 3 Unlock
