Question: Answer The MCQ Question Major factors that are considered when forecasting sales will differ depending on the industry and nature of the firm. Which of
Answer The MCQ Question

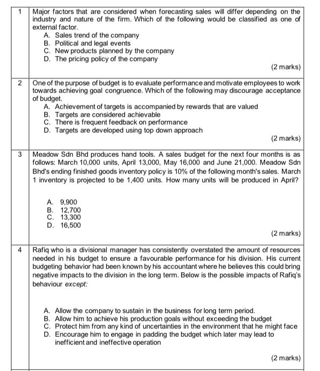
Major factors that are considered when forecasting sales will differ depending on the industry and nature of the firm. Which of the following would be classified as one of external factor. A. Sales trend of the company B. Political and legal events C. New products planned by the company D. The pricing policy of the company (2 marks) 2 One of the purpose of budget is to evaluate performance and motivate employees to work towards achieving goal congruence. Which of the following may discourage acceptance of budget. A. Achievement of targets is accompanied by rewards that are valued B. Targets are considered achievable C. There is frequent feedback on performance D. Targets are developed using top down approach (2 marks) 3 Meadow Sdn Bhd produces hand tools. A sales budget for the next four months is as follows: March 10,000 units, April 13,000, May 16,000 and June 21,000. Meadow Sdn Bhd's ending finished goods inventory policy is 10% of the following month's sales. March 1 inventory is projected to be 1,400 units. How many units will be produced in April? A. 9,900 B 12,700 C. 13,300 D 16,500 (2 marks) 4 Rafiq who is a divisional manager has consistently overstated the amount of resources needed in his budget to ensure a favourable performance for his division. His current budgeting behavior had been known by his accountant where he believes this could bring negative impacts to the division in the long term. Below is the possible impacts of Rafiq's behaviour except: A. Allow the company to sustain in the business for long term period. B. Allow him to achieve his production goals without exceeding the budget C. Protect him from any kind of uncertainties in the environment that he might face D. Encourage him to engage in padding the budget which later may lead to inefficient and ineffective operation (2 marks)
Step by Step Solution
There are 3 Steps involved in it
Get step-by-step solutions from verified subject matter experts
