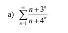
Question: Answer the question below without skipping a step 1 + 4n+ 112. Determine whether the series is convergent or divergent. (10 points)
Answer the question below without skipping a step



1 + 4n+ 112. Determine whether the series is convergent or divergent. (10 points)
Step by Step Solution
There are 3 Steps involved in it
Get step-by-step solutions from verified subject matter experts
