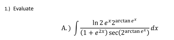
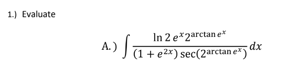
Question: answer this, make another type of solution with same format as follows typewritten much better I.) Evaluate In 2 eX2arctaneX (1 + e2X) sec(2arctan ex




answer this, make another type of solution with same format as follows typewritten much better




I.) Evaluate In 2 eX2arctaneX (1 + e2X) sec(2arctan ex
Step by Step Solution
There are 3 Steps involved in it
Get step-by-step solutions from verified subject matter experts
