Question: Answer this questions: Problem 2. Solving Systems of Linear Equations. 10 points.Solve the following systems of linear equations using any method:a) ?3x + 2y =
Answer this questions: Problem 2. Solving Systems of Linear Equations. 10 points.Solve the following systems of linear equations using any method:a) ?3x + 2y = 92x ?4/3 y = ?6 b) 5x + 9y = 17x ? 3y = ?5 c) y = ?4x + 3y = ?4x ? 3Using this reference below following the same formula !

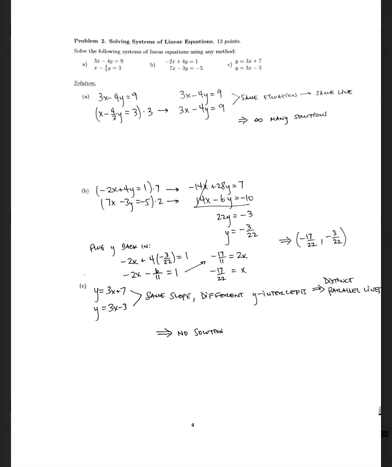
Problem 2. Solving Systems of Linear Equations. 12 points. Solve the following systems of linear equations using any method: a) 3x - Ay = 9 1 - y=3 b) -2r + 4y = 1 7x - 3y = -5 c) y = 3x + 7 y = 31 - 3 Solution: ( 2) 3x- 44 =9 3 x- 4 4 = 9 SAME EQUATION - SAME LINE ( x - 4y = 3) . 3 - 3x - 49 = 9 0 MANY SOUTIONS (b ) ( - 2 x+ ty = 1)-7 - 14 * + 28y = 7 ( 7 x - 3y =-5).2 - 14x - by =-10 224 = - 3 4= - 3 PWG y BACK IN : -7 ( - 17 22 1 - 22 - 2x + 4 (-32 ) = 1 - 17 = 2x -57 - 2x -b = 1 - 17 = X (c ) 22 4=3x+7 DISTANCE SAME SLOPE , DIFFERENT 4-INTERCEPTS > PARALLEL LINES 4 = 3 x- 3 = NO SOWTION
Step by Step Solution
There are 3 Steps involved in it
Get step-by-step solutions from verified subject matter experts
