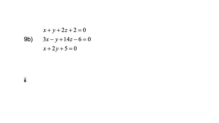
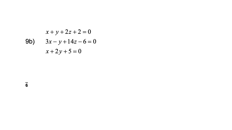
Question: Application (12 marks) 9. For each set of equations {part a and b). determine the intersection (if any. a point or a line} of the




Application (12 marks) 9. For each set of equations {part a and b). determine the intersection (if any. a point or a line} of the corresponding planes. x+y+z6=0 9a) x+2y+3z+1=0 x+4y+829=0
Step by Step Solution
There are 3 Steps involved in it
Get step-by-step solutions from verified subject matter experts
