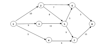
Question: Apply the Critical Path Method (CPM) to set the project plan of the following project as shown in the network below. Compute the Project Completion
Apply the Critical Path Method (CPM) to set the project plan of the following project as shown in the network below.
Compute the Project Completion Time, Identify the Critical Path and the Critical Activates in this project.

Step by Step Solution
There are 3 Steps involved in it
Get step-by-step solutions from verified subject matter experts
