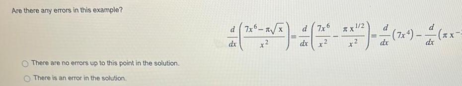
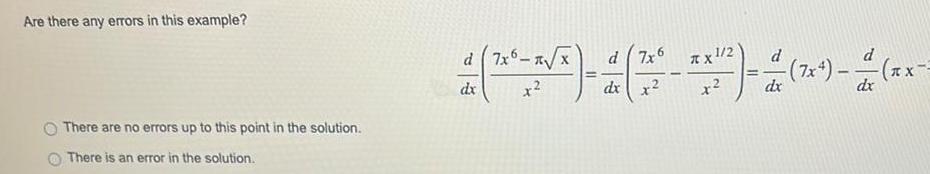
Question: Are there any errors in this example There are no errors up to this point in the solution There is an error in the solution


Are there any errors in this example There are no errors up to this point in the solution There is an error in the solution d7x6 d dx dx dx 1 2 d dx 7x4
Step by Step Solution
There are 3 Steps involved in it
Get step-by-step solutions from verified subject matter experts
