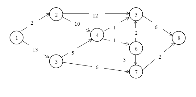
Question: As for the following network,(a)Find the flow pattern giving the maximum flow from the source (node 1) to the sink (node 8) using augmenting path
As for the following network,(a)Find the flow pattern giving the maximum flow from the source (node 1) to the sink (node 8) using augmenting path algorithm. (b)Formulate this max flow problem as a linear programming.

Step by Step Solution
There are 3 Steps involved in it
Get step-by-step solutions from verified subject matter experts
