Question: As it needs more details: This question is about Evolutionary Algorithms. Briefly, in Particle Swarm Optimization algorithms a particle is influenced by Best particle, particle
As it needs more details: This question is about Evolutionary Algorithms. Briefly, in Particle Swarm Optimization algorithms a particle is influenced by Best particle, particle Best and inertia coefficients through iterations. It just asks give a detailed answer if particles in PSO can behave independently (or cant). The expert who answers this question has to know the Evolutionary Algorithms and how they work. This is a theorical problem not a code based problem. I uploaded a simple picture to show how PSO works. If you need more information about what is PSO you can just google it and read PDFs.

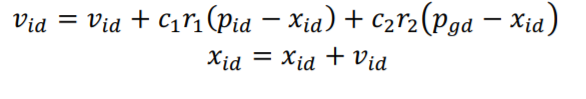
Swarm intelligence based algorithms commonly use a centralized intelligence i.e. the best individual in the swarm has the capability of leading the whole swarm. For example in the standard PSO, a particle is influenced by the global best particle (gB), its particle best (pB) and inertia (w). The severity of these effects can be tuned by coefficients c2, c1 and w, respectively. It is clear that the values of these coefficients define the behavior of PSO. Can each of the particles have their own intelligence patterns that are established throughout the search? In other words, can each of the particles have different behaviors that are free of the introduced central intelligence and can they learn how to behave throughout the search? If your answer is yes, please explain how. Otherwise, if your answer is no, please explain why.
I need a detailed answer.
Xid-Xid + Vid
Step by Step Solution
There are 3 Steps involved in it
Get step-by-step solutions from verified subject matter experts
