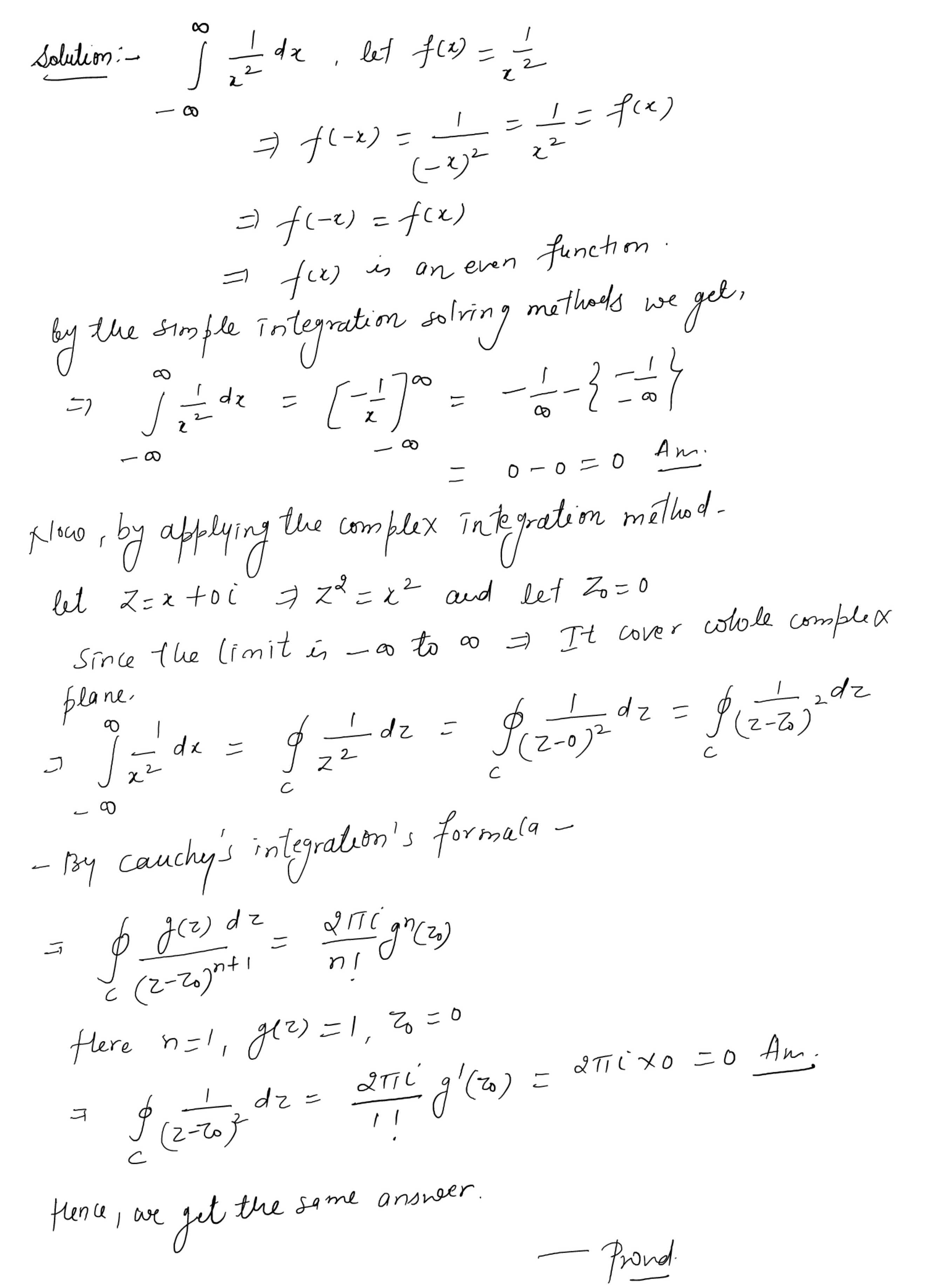
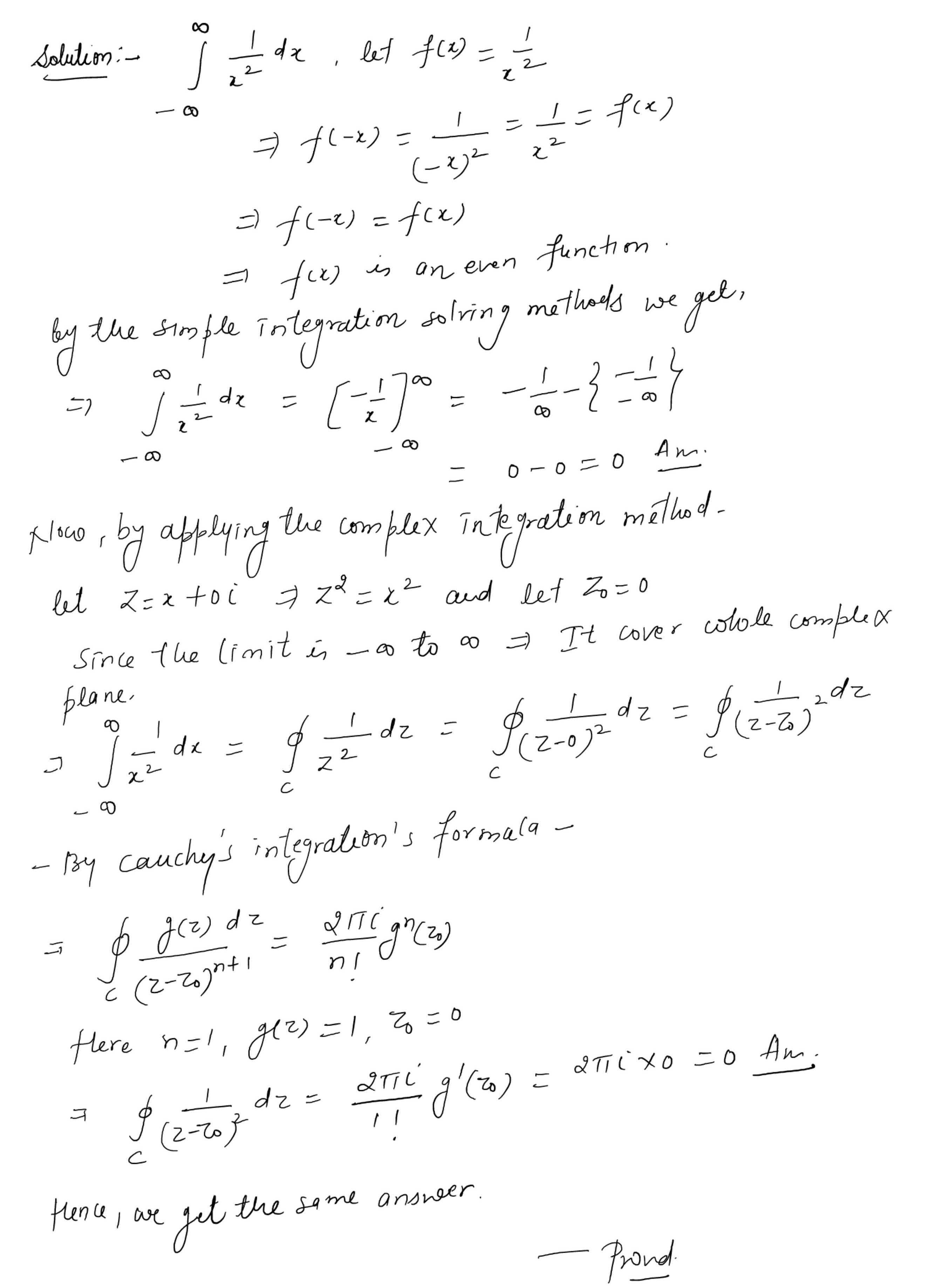
Question: - ASolution: - 2 I de , let f( x ) = 2 - Co - ) 7 ( - 2 ) = . =


![. = ( - * ) 2 2 2 =] f (](https://s3.amazonaws.com/si.experts.images/answers/2024/06/66772ef10b386_83266772ef0ddb0d.jpg)

- ASolution: - 2 I de , let f( x ) = 2 - Co - ) 7 ( - 2 ) = . = ( - * ) 2 2 2 =] f ( - 2 ) = f (x ) fix) is an even function . by the Simple Integration solving methods we get , co 1 dx = 100 - 0 00 0 - 0 = 0 Am flow , by applying the complex integration method- let 2 = x to i 7 2 2 = x 2 and let Zo = 0 Since the limit in - a to a ) It cover whole complex blane dx -dz = - dz = 9 ( 2 - 20 ) 2 d z 2 2 2 9 (2- 0 ) 2 C C - By cauchy's integration's formala - $ f ( 2 ) dz * MC gin ( 20 ) c ( 2 - zoanti - Here n= 1, g( 2 ) = 1 7 = 0 dz = QTIL 9 (2 ) - QTilXO = 0 Am. 9 1 2 - 20 ) 1 1 C flence , we get the same answer. - Proud
Step by Step Solution
There are 3 Steps involved in it
Get step-by-step solutions from verified subject matter experts
