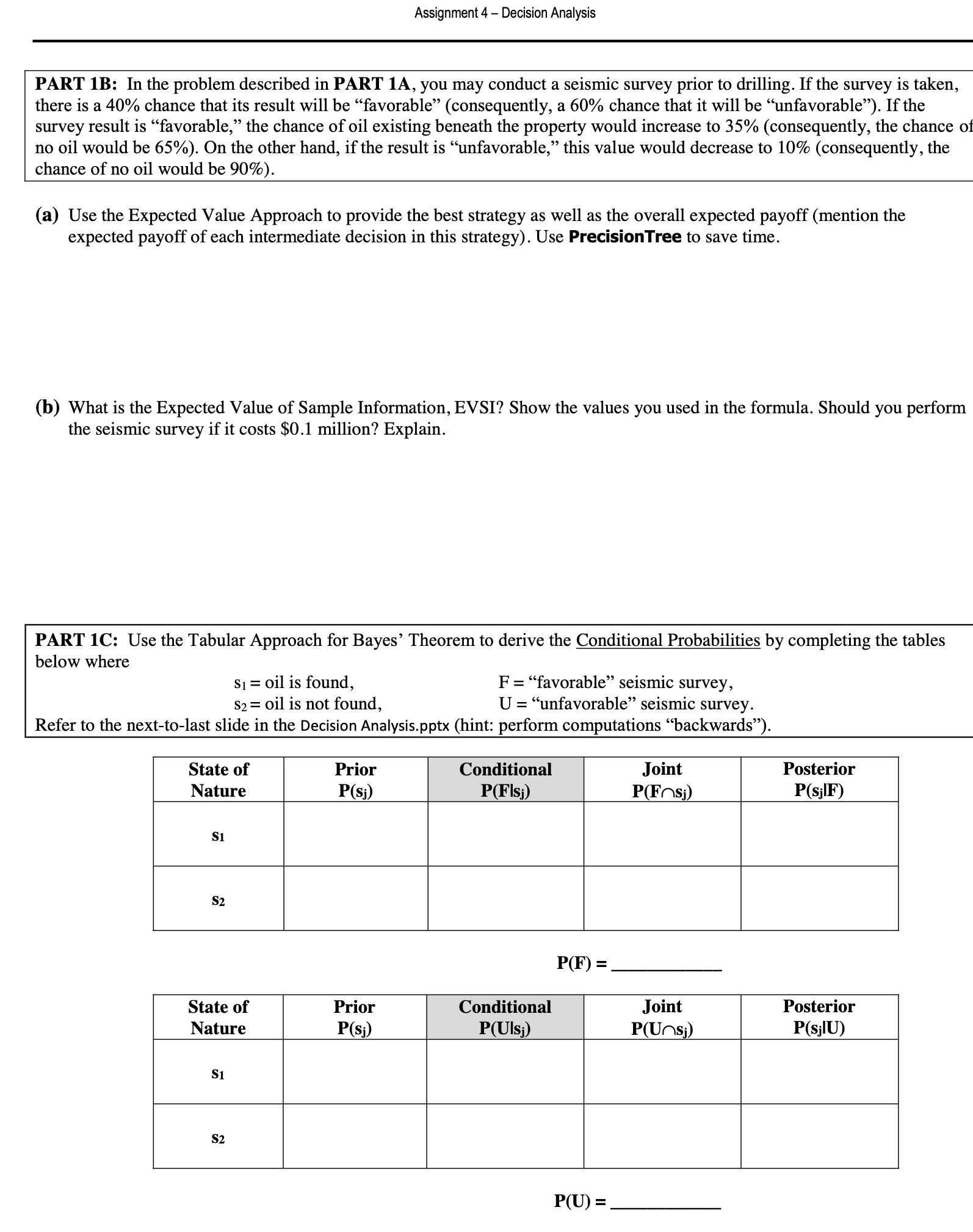
Question: Assignment 4 Decision Analysis PART 13: In the problem described in PART 1A, you may conduct a seismic survey prior to drilling. If the survey

Assignment 4 Decision Analysis PART 13: In the problem described in PART 1A, you may conduct a seismic survey prior to drilling. If the survey is taken, there is a 40% chance that its result will be \"favorable\" (consequently, a 60% chance that it will be \"unfavorable\"). If the survey result is \"favorable,\" the chance of oil existing beneath the property would increase to 35% (consequently, the chance oi no oil would be 65%). On the other hand, if the result is \"unfavorable,\" this value would decrease to 10% (consequently, the chance of no oil would be 90%). (a) Use the Expected Value Approach to provide the best strategy as well as the overall expected payoff (mention the expected payoff of each intermediate decision in this strategy). Use PrecisionTree to save time. (b) What is the Expected Value of Sample Information, EVSI'? Show the values you used in the formula. Should you perform the seismic survey if it costs $0.1 million? Explain. PART 1C: Use the Tabular Approach for Bayes' Theorem to derive the Conditional Probabilities by completing the tables below where s1: oil is found, F = \"favorable\" seismic survey, 82 = oil is not found, U = \"unfavorable\" seismic survey. Refer to the nextto-last slide in the Decision Analysis.pptx (hint: perform computations \"backwards\"). State of Prior Conditional Joint Posterior Nature P(Sj) P(FlSj) P(Fns P(SjIF) P(F)- _ _onditional Posterior Uls1) P(Sle) P(U) =
Step by Step Solution
There are 3 Steps involved in it
Get step-by-step solutions from verified subject matter experts
