Question: Assignment 4 Determine whether each relation represents y as a function of x. 1) x=y+2 2) 4y + 18 = 96x 3) Which of the



![(4, 2) (5. 2) ] On. ((-2, 0) (0. -2), (0, 2)](https://s3.amazonaws.com/si.experts.images/answers/2024/06/667b7e9427d6e_363667b7e93e9f26.jpg)
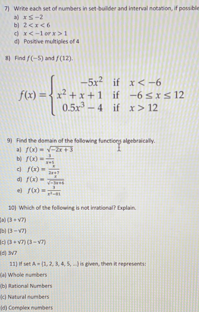
Assignment 4 Determine whether each relation represents y as a function of x. 1) x=y+2 2) 4y + 18 = 96x 3) Which of the following relations describes a function? Explain. OA ((2.2) (3. 2) (4, 2) (5. 2) ] On. ((-2, 0) (0. -2), (0, 2) (2, 0) ) Or ( (0, 0). (2, 2) (, 21 0,3) ) OD. ( (.3). (, 4.(.5).(2,6) ) 4) Which of these graphs represents a function? Explain. 5) Rewrite the number line using set-builder and interval notation. 6) Find each function value. g (m) = 3+Vm -4 a. 8(-2) b. g (3m) c. g(4m - 2)7) Write each set of numbers in set-builder and interval notation, if possible a) x5-2 b) 2
Step by Step Solution
There are 3 Steps involved in it
Get step-by-step solutions from verified subject matter experts
