Question: Assignment 6 Solve the following: 1.When Annie started attending her class in College, he was keen to arrive at school on time so he kept






Assignment 6
Solve the following:
1.When Annie started attending her class in College, he was keen to arrive at school on time so he kept a record of his travel times to get to school each day for the first ten days. The number of minutes taken each day was:
55 69 93 59 68 75 62 78 97 83 .
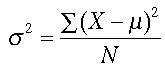
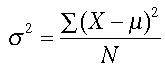
Compute for variance and standard deviation.
2. The ages in days of samples of accounts receivable from two supplier companies 1 and 2, both of which extend 30 days credit, are shown below:
1 2
15 15 30 40
15 30 35 40
20 40 35 45
25 45 35 45
35 45 40 50
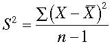
Using means and standard deviations of the two sets of data, compare the profile of the ages of accounts receivable of the two companies.
Quiz 6
1. The symbol for the population standard deviation is
a.











Step by Step Solution
There are 3 Steps involved in it
Get step-by-step solutions from verified subject matter experts
