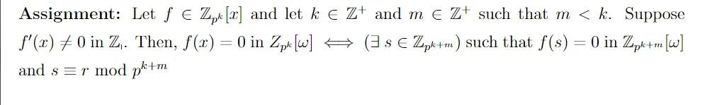
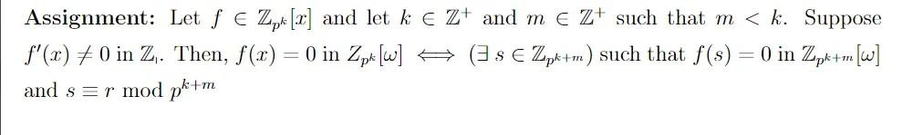
Question: Assignment: Let f ( Z,x x] and let k E Z+ and m E Z+ such that m (3s ( Zipk+m ) such that f(s)
![Assignment: Let f ( Z,x x] and let k E Z+](https://s3.amazonaws.com/si.experts.images/answers/2024/06/6664d54c14d78_2366664d54c0306d.jpg)

Assignment: Let f ( Z,x x] and let k E Z+ and m E Z+ such that m (3s ( Zipk+m ) such that f(s) = 0 in Zip+m [w] and s = r mod p* tm
Step by Step Solution
There are 3 Steps involved in it
Get step-by-step solutions from verified subject matter experts
