Question: Assume we have 198 weekly data points on the returns to a particular stock expressed in percentage terms and defined as x. The following quantities
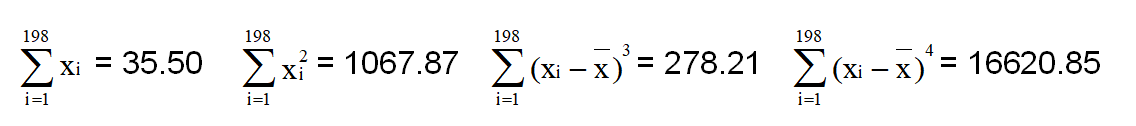
Assume we have 198 weekly data points on the returns to a particular stock expressed in percentage terms and defined as x. The following quantities are computed from the data:

a) Use these quantities to determine whether the data are skewed.
b)Use these quantities to determine the kurtosis value of the data.
c)Use these quantities to perform a test for normality using a 5% significance level.
198 198 198 4 Ex = 35.50 2x = 1067.87 v)= 278.21 v)* = 16620.85 55 1067 8 . 3 Xi - X) 278.21 - Xi X i=1 i=1 ia 198 198 198 4 Ex = 35.50 2x = 1067.87 v)= 278.21 v)* = 16620.85 55 1067 8 . 3 Xi - X) 278.21 - Xi X i=1 i=1 ia
Step by Step Solution
There are 3 Steps involved in it
Get step-by-step solutions from verified subject matter experts
