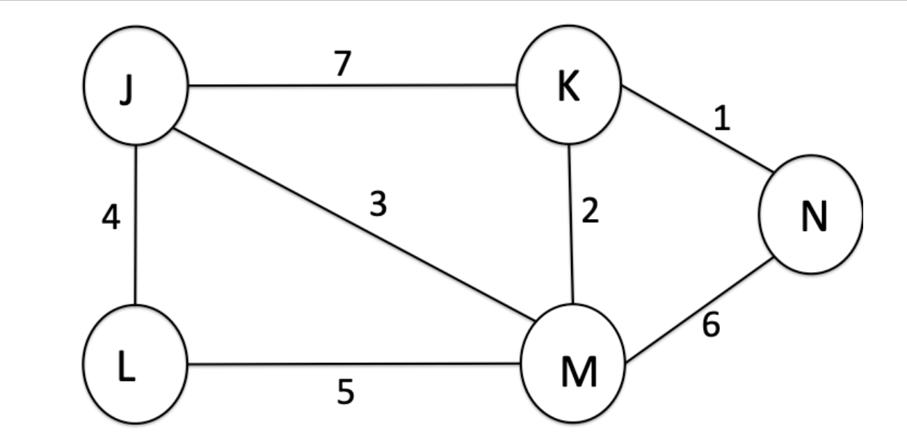
Question: Assuming that the source node is node J , what is the content of the routing table after finishing the execution of Dijsktra's algorithm
Assuming that the source node is node J what is the content of the routing table after finishing the execution of Dijsktra's algorithm
Step by Step Solution
There are 3 Steps involved in it
1 Expert Approved Answer
Step: 1 Unlock
Question Has Been Solved by an Expert!
Get step-by-step solutions from verified subject matter experts
Step: 2 Unlock
Step: 3 Unlock
