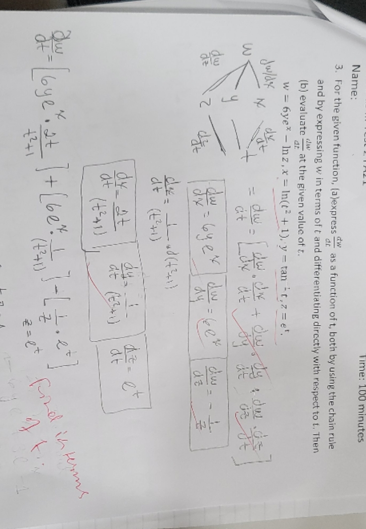
Question: At the bottom, do I replace the x,y and z variables for the original values? ex. z= e^t Name: Time: 100 minutes 3. For the
At the bottom, do I replace the x,y and z variables for the original values? ex. z= e^t

Name: Time: 100 minutes 3. For the given function, (a)express as a function of t, both by using the chain rule and by expressing w in terms of t and differentiating directly with respect to t. Then (b) evaluate aw at the given value of t. w = 6ye" - Inz, x = In(t2 + 1), y = tan it, z = e. Jw/ dx 3 it Lox at 57 N = dt ( ( 2 +1 ) dy - at At = ( + 241) at = / bye . at + 2+1
Step by Step Solution
There are 3 Steps involved in it
Get step-by-step solutions from verified subject matter experts
