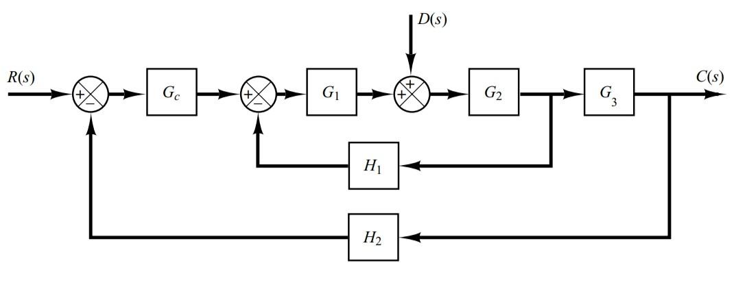
Question: B - 2-7 . Obtain the transfer functions C ( s ) / R ( s ) and C ( s ) / D (
B - 2-7 . Obtain the transfer functions C ( s ) / R ( s ) and C ( s ) / D ( s ) of the system shown in Figure 2-34 .

D(S) R(S) C(s) G G G H H2
Step by Step Solution
There are 3 Steps involved in it
Get step-by-step solutions from verified subject matter experts
