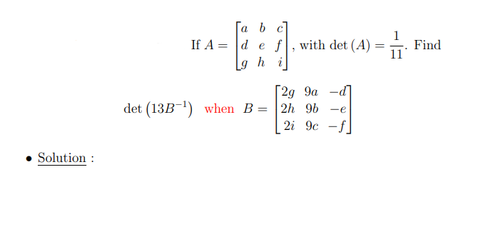
Question: b c If A = d e f , with det (A) = Find 11 ghi [2g ga -d det (13B ) when B =

b c If A = d e f , with det (A) = Find 11 ghi [2g ga -d det (13B ) when B = 2h 9b -e 2i 9c -f Solution
Step by Step Solution
There are 3 Steps involved in it
Get step-by-step solutions from verified subject matter experts
