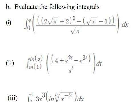
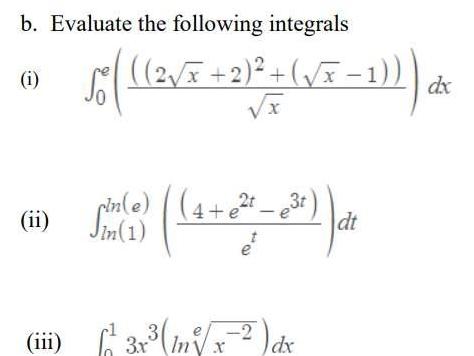
Question: b Evaluate the following integrals i ii rin e Sin 1 2 x 2 x 1 d dx x 4 e t e t iii


b Evaluate the following integrals i ii rin e Sin 1 2 x 2 x 1 d dx x 4 e t e t iii 3x x 2 dx de dt
Step by Step Solution
There are 3 Steps involved in it
1 Expert Approved Answer
Step: 1 Unlock
Question Has Been Solved by an Expert!
Get step-by-step solutions from verified subject matter experts
Step: 2 Unlock
Step: 3 Unlock
