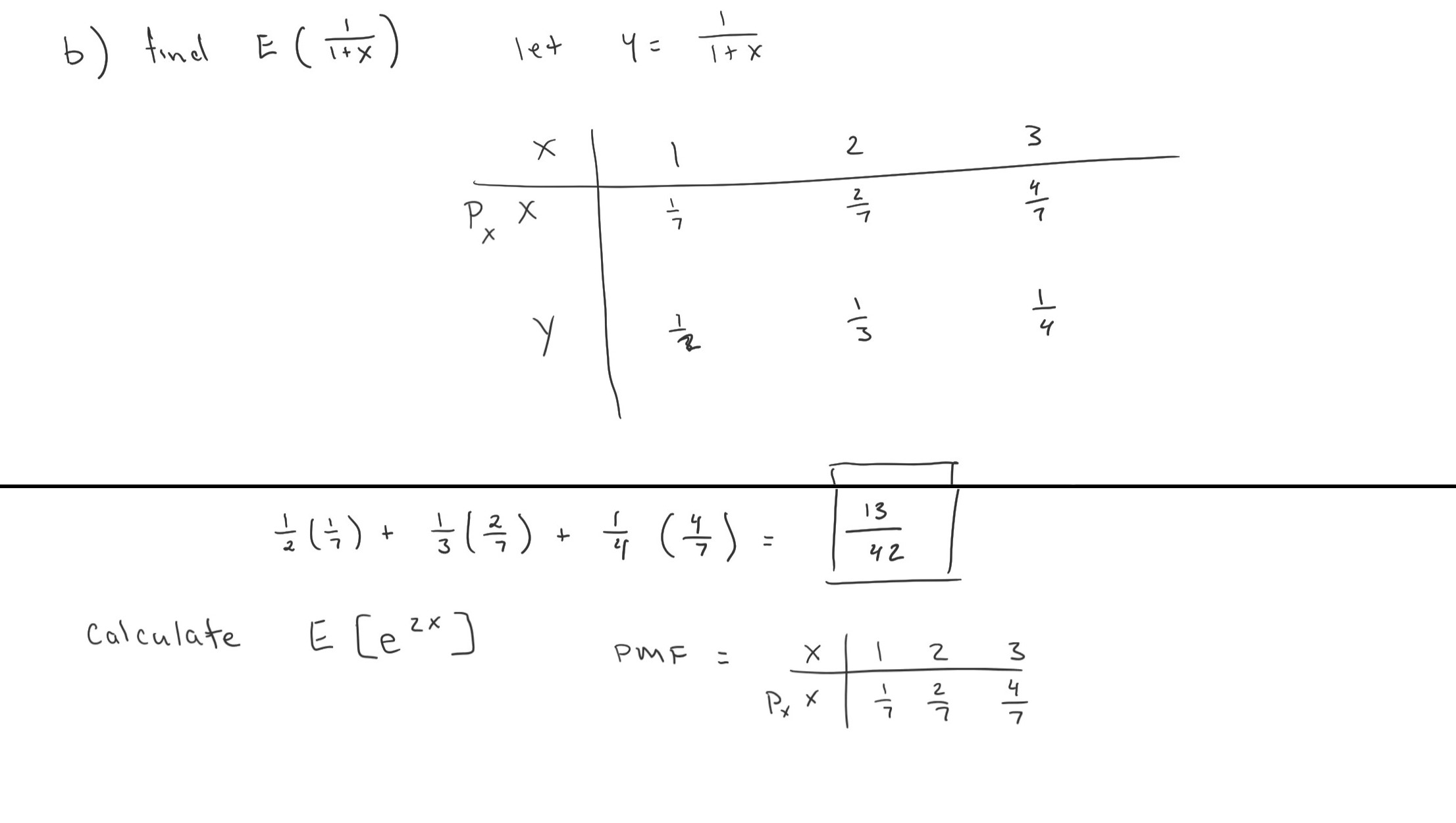
Question: b ) find E ( 1+X) let 4 = It x X 2 3 P VI- w / - 2 ( 7 ) + 3

b ) find E ( 1+X) let 4 = It x X 2 3 P VI- w / - 2 ( 7 ) + 3 ( 3 ) + 4 ( 4 ) = 13 4 2 Calculate E [ ez x ] PMF = X 2 P X J N
Step by Step Solution
There are 3 Steps involved in it
Get step-by-step solutions from verified subject matter experts
