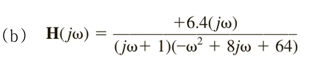
Question: ( b ) H ( j omega ) = ( + 6 . 4 ( j omega ) ) / ( ( j
b Hjomega jomega jomega omega jomega
Step by Step Solution
There are 3 Steps involved in it
1 Expert Approved Answer
Step: 1 Unlock
Question Has Been Solved by an Expert!
Get step-by-step solutions from verified subject matter experts
Step: 2 Unlock
Step: 3 Unlock
