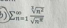
Question: b ) n = 1 n 2 3 n 2 determine if diverges or converges and show what test to use
b
determine if diverges or converges and show what test to use
Step by Step Solution
There are 3 Steps involved in it
1 Expert Approved Answer
Step: 1 Unlock
Question Has Been Solved by an Expert!
Get step-by-step solutions from verified subject matter experts
Step: 2 Unlock
Step: 3 Unlock
