Question: ( b ) Show that for the particles to be in equilibrium r = r 0 = ( 8 ) 1 7 , The energy
b Show that for the particles to be in equilibrium
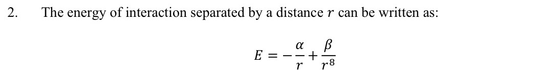
The energy of interaction separated by a distance can be written as:
Step by Step Solution
There are 3 Steps involved in it
1 Expert Approved Answer
Step: 1 Unlock
Question Has Been Solved by an Expert!
Get step-by-step solutions from verified subject matter experts
Step: 2 Unlock
Step: 3 Unlock
