Question: Based of this function () = 240 48 Determine (). Let () be defined as () = (), naming the constant of integration 4, and
Based of this function () = 240 48
- Determine ().
- Let () be defined as () = (), naming the constant of integration 4, and letting 4 = 0
this is how other have answered similar questions


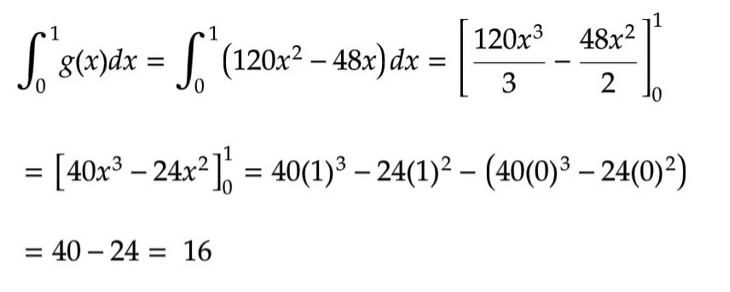
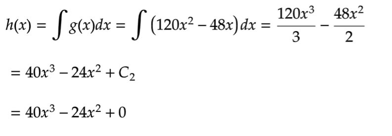
1 120x3 48x2 J 8(x) dx = 120x2 - 48x) dx = 0 3 2 Jo = [40x3 - 24x2 ] = 40(1)3 - 24(1)2 - (40(0)3 -24(0)2) = 40 - 24 = 16120x3 48x-2 h(x) = g(x)dx = 120x2 - 48x) dx = 3 2 = 40x3 - 24x2 + C2 = 40x3 - 24x2 + 0
Step by Step Solution
There are 3 Steps involved in it
Get step-by-step solutions from verified subject matter experts
