Question: Based off the first picture, does my model look correct? CASE PROBLEM : RETIREMENT PLA N Tim is 37 years old and would like to
Based off the first picture, does my model look correct?




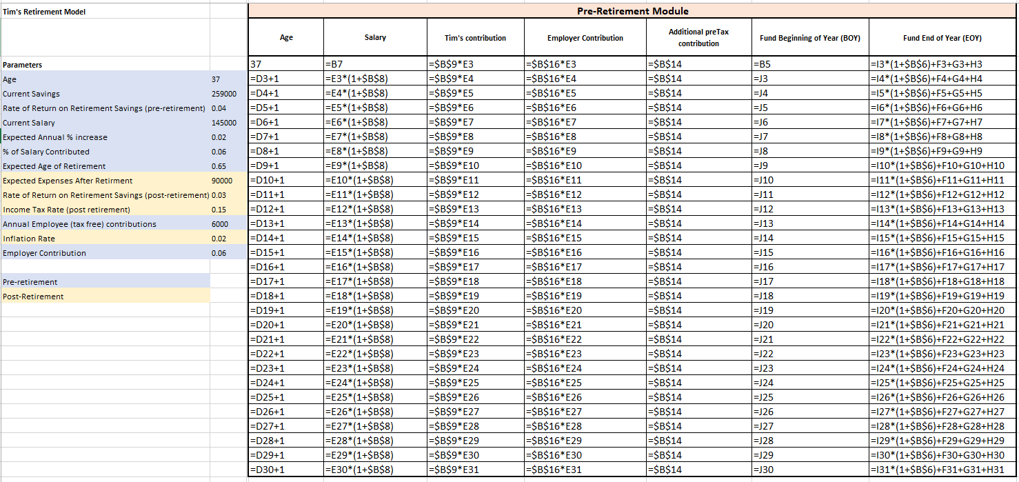
CASE PROBLEM : RETIREMENT PLA N Tim is 37 years old and would like to establish a retirement plan. Develop a spreadsheet model that could be used to assist Tim with retirement planning. Your model should include the following input parameters: Tim's current age =37 years Tim's current total retirement savings =$259,000 Annual rate of return on retirement savings =4% Tim's current annual salary =$145,000 Tim's expected annual percentage increase in salary =2% Tim's percentage of annual salary contributed to retirement =6% Tim's expected age of retirement =65 Tim's expected annual expenses after retirement (current dollars) =$90,000 Rate of return on retirement savings after retirement =3% Income tax rate postretirement =15% Assume that Tim's employer contributes 6% of Tim's salary to his retirement fund. Tim can make an additional annual contribution to his retirement fund before taxes (tax free) up to a contribution of $16,000. Assume that he contributes $6,000 per year. Also, assume an inflation rate of 2%. Managerial Report Your spreadsheet model should provide the accumulated savings at the onset of retirement as well as the age at which funds will be depleted (given assumptions on the input parameters). As a feature of your spreadsheet model, build a data table to demonstrate the sensitivity of the age at which funds will be depleted to the retirement age and additional pre-tax contributions. Similarly, consider other factors you think might be important. Develop a report for Tim outlining the factors that will have the greatest impact on his retirement
Step by Step Solution
There are 3 Steps involved in it
Get step-by-step solutions from verified subject matter experts
