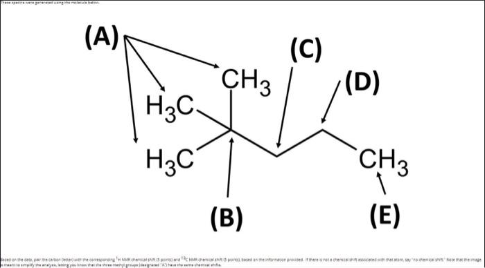
Question: based on the data, pair the carbon (letter) with the corresponding 1H NMR chemical shift and 13C NMR chemical shift, based on the information provided.



SCH (4) SC NMR spectrum (1) (2) (3) (5) ve 1 HNMR (1) (2) (3) (4) il . 13C NMR Peak Chemical Shift (ppm) Relative Area (1) 47.3 1 (2) 45.7 1 (3) 30.6 1 (4) 29.5 3 3 (5) 15.1 1 1H NMR Peak Chemical Shift (ppm) Relative Area Multiplicity (1) 1.254 2 2 Quartet of Triplets (2) 0.872 3 Triplet (3) 0.825 9 Singlet (4) 0.586 2 2 Triplet (A) (C) CH3 (D) .. CH3 (B) (E) segnale Sport Shirt based on the correctement ply them with me
Step by Step Solution
There are 3 Steps involved in it
Get step-by-step solutions from verified subject matter experts
