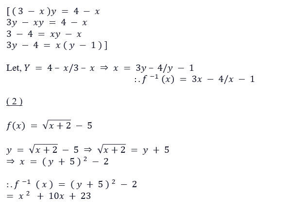
Question: Based on the following function I created, h ow would I determine if the function has inverse? fff
Based on the following function I created, how would I determine if the function has inverse?



\f\f\f
Step by Step Solution
There are 3 Steps involved in it
Get step-by-step solutions from verified subject matter experts
