Question: Based on this sheet please help me answer this question correctly: What is the first n such that the value of an in column B
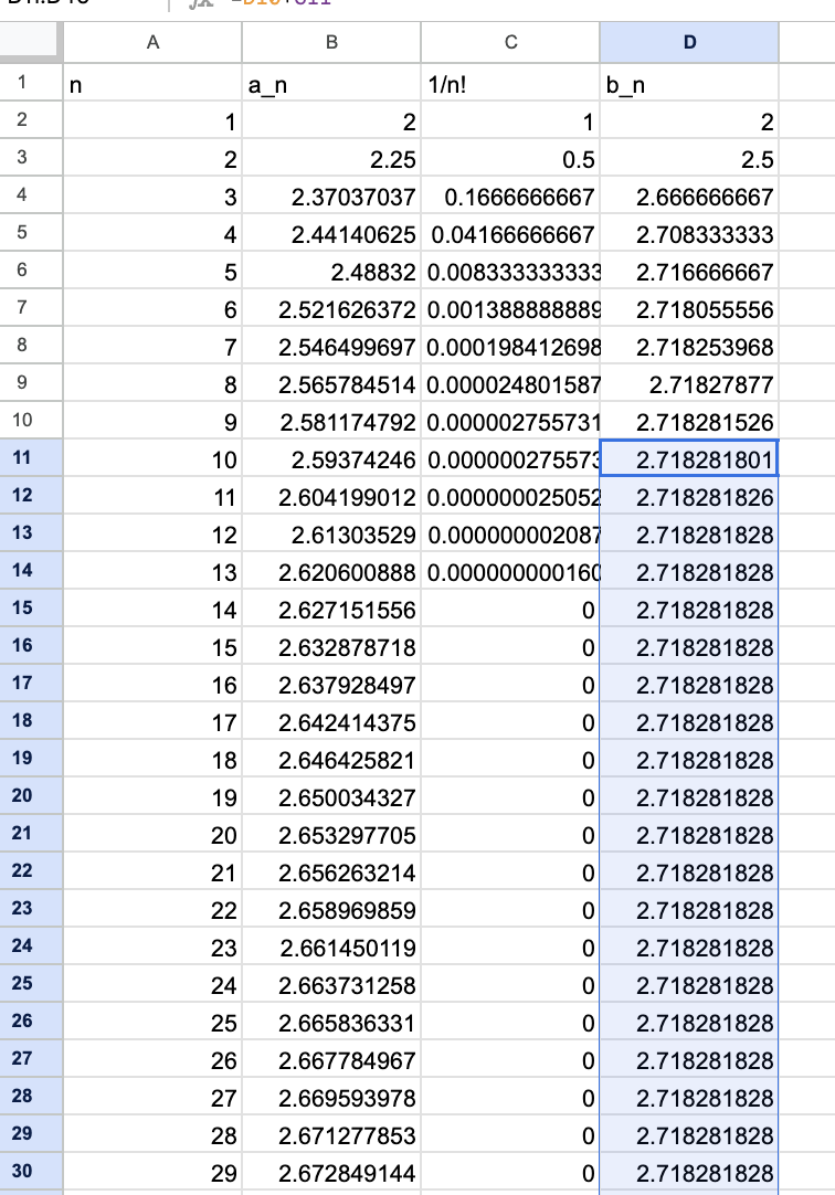
Based on this sheet please help me answer this question correctly: What is the first n such that the value of an in column B is of the form Enter this number in HERE. Note that this number n should be the number in column A not the number of the row which is one larger Note also that by being of the form we mean that the first digit after the decimal point is a So is not of the form I WAS TRYING TO UPLOAD ANOTHER SS BUT IT DIDNT LET ME FORMULA FOR ROW B AA starts appairing in B
Step by Step Solution
There are 3 Steps involved in it
1 Expert Approved Answer
Step: 1 Unlock
Question Has Been Solved by an Expert!
Get step-by-step solutions from verified subject matter experts
Step: 2 Unlock
Step: 3 Unlock
