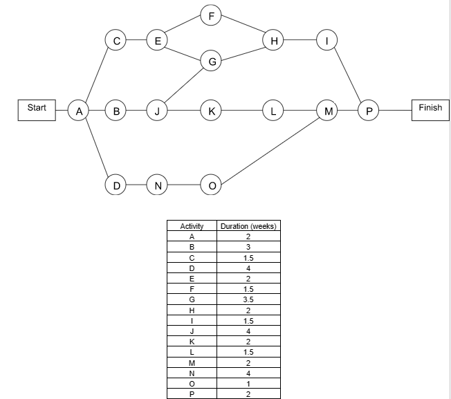
Question: begin{tabular}{|c|c|} hline Activity & Duration (weeks) hline A & 2 hline B & 3 hline C & 1.5 hline D &


\begin{tabular}{|c|c|} \hline Activity & Duration (weeks) \\ \hline A & 2 \\ \hline B & 3 \\ \hline C & 1.5 \\ \hline D & 4 \\ \hline E & 2 \\ \hline F & 1.5 \\ \hline G & 3.5 \\ \hline H & 2 \\ \hline I & 1.5 \\ \hline J & 4 \\ \hline K & 2 \\ \hline L & 1.5 \\ \hline M & 2 \\ \hline N & 4 \\ \hline O & 1 \\ \hline P & 2 \\ \hline \end{tabular} 2. When do the individual activities need to start and finish (at the latest) to meet this project completion time? 3. When can the individual activities start and finish (at the earliest) if no delays occur? 4. Which are the critical bottleneck activities where any delays must be avoided to prevent delaying project completion? 5. For the other activities, how much delay can be tolerated without delaying project completion
Step by Step Solution
There are 3 Steps involved in it
Get step-by-step solutions from verified subject matter experts
