Question: Below is the graph izif}I = f(1'). Find the missing values. a. u) = :i ii. if?) = n a. rim) = :i ('1. r10)








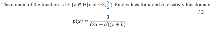
Below is the graph izif}I = f(1'). Find the missing values. a. u) = :i ii. if?) = n a. rim) = :i ('1. r10) = n The domain of the function is D: {x 6 R|x # -2, }. Find values for a and b to satisfy this domain. 13 3 p(x) = (2x - a) (x+ b)x2 for x s -1 Find the domain of a piecewise function algebraically F(x) = for x > -1 X 2 for x
Step by Step Solution
There are 3 Steps involved in it
Get step-by-step solutions from verified subject matter experts
