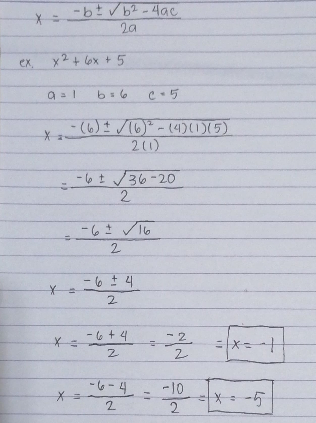
Question: * = - biv b2 - 4ac ex. * 2 + 6* + 5 a = 1 6= 6 0= 5 * * - (

Step by Step Solution
There are 3 Steps involved in it
1 Expert Approved Answer
Step: 1 Unlock
Question Has Been Solved by an Expert!
Get step-by-step solutions from verified subject matter experts
Step: 2 Unlock
Step: 3 Unlock
